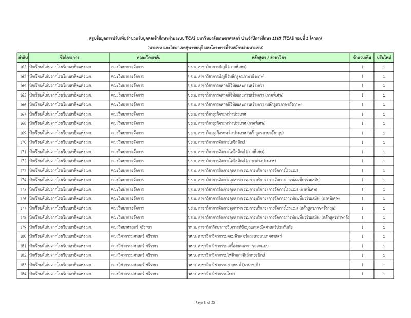
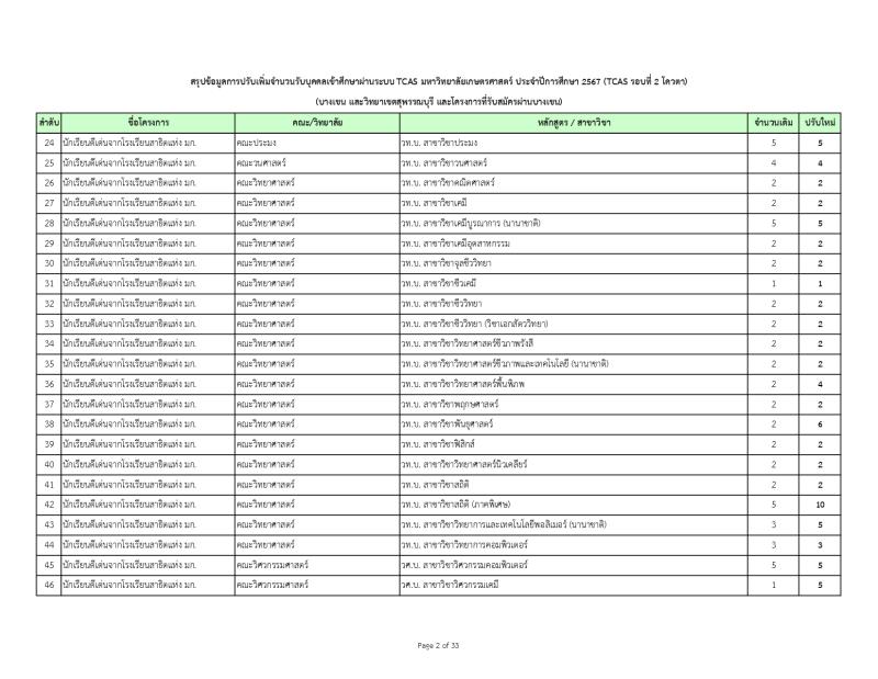
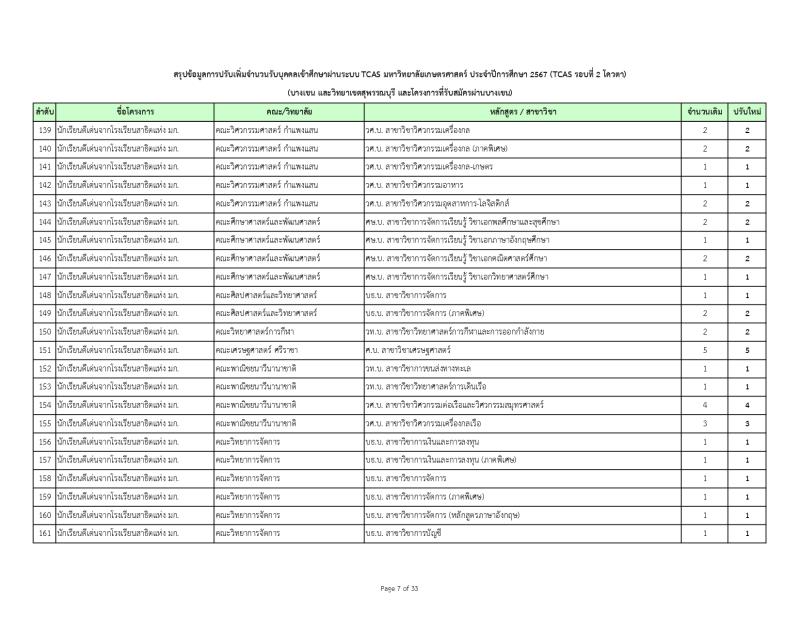
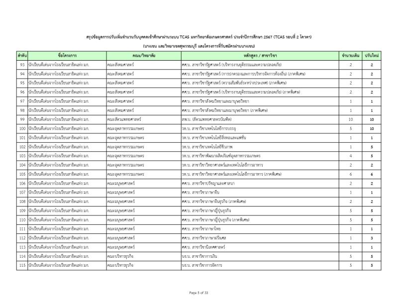
ม.ศิลปากร ประกาศเกณฑ์ “รอบ 3 Admission” — เปิดรับ 11 คณะ รวมกว่า 5,393 ที่นั่ง EZ WebmasterDecember 5, 2025 🎓 มศก. ประกาศเกณฑ์ “รอบ 3 Admission” — เปิดรับ 11 คณะ รวมกว่า 5,393 ที่นั่ง มศก. เปิดรับสมัครในรอบ 3 (Admission) สำหรับปีการศึกษา… 📌 ร.ร.นารีรัตน์ จ.แพร่ ออกแนวปฏิบัติการแต่งกายช่วงหน้าหนาว อนุญาตใส่เสื้อกันหนาวโทนสุภาพเพื่อความเป็นระเบียบ EZ WebmasterDecember 4, 2025 📌 ร.ร.นารีรัตน์ จ.แพร่ ออกแนวปฏิบัติการแต่งกายช่วงหน้าหนาว อนุญาตใส่เสื้อกันหนาวโทนสุภาพเพื่อความเป็นระเบียบ จากกรณีที่มีการแชร์เรื่องราวในโลกออนไลน์เกี่ยวกับนักเรียนโรงเรียนแห่งหนึ่งในจังหวัดแพร่ ถูกคุณครูยึดเสื้อกันหนาวสีครีม เนื่องจากผิดระเบียบการแต่งกายของสถานศึกษา ขณะที่อุณหภูมิในช่วงเวลาดังกล่าวลดต่ำลงเหลือเพียง 9–10 องศาเซลเซียส จนเกิดกระแสวิพากษ์วิจารณ์ในวงกว้าง ล่าสุดเมื่อวันที่ 4 ธันวาคม 2568 โรงเรียนนารีรัตน์ จังหวัดแพร่… เตรียมให้สุด! เปิดรับสมัครอย่างเป็นทางการ หลักสูตรการออกแบบแฟชั่นและสไตล์ลิ่ง คณะศิลปกรรมศาสตร์ สวนสุนันทา tui sakrapeeDecember 4, 2025 ฝากบอก และแชร์ต่อด้วยนะคะ !!! ด่วนๆๆๆ เปิดรับสมัครอย่างเป็นทางการ NEW หลักสูตร การออกแบบแฟชั่นและสไตล์ลิ่ง น้องคนไหนสนใจและมองหาที่เรียนแฟชั่นและสไตล์ลิ่งอยู่ รีบสมัครด่วนๆ เลยนะคะ มหาวิทยาลัยราชภัฏสวนสุนันทา เปิดรับสมัครนักศึกษาใหม่ ภาคปกติ ระดับปริญญาตรี ประจำปีการศึกษา 2569 (รอบที่… สุดเจ๋ง! สถานศึกษาอาชีวะ รับรางวัลโครงการชีววิถีฯ ระดับประเทศ ประจำปี 2568 สานต่อปณิธานหลักปรัชญาเศรษฐกิจพอเพียงของพ่อหลวงรัชกาลที่ 9 EZ WebmasterDecember 3, 2025 สุดเจ๋ง! สถานศึกษาอาชีวะ รับรางวัลโครงการชีววิถีฯ ระดับประเทศ ประจำปี 2568 สานต่อปณิธานหลักปรัชญาเศรษฐกิจพอเพียงของพ่อหลวงรัชกาลที่ 9 วันนี้ (1 ธ.ค. 68) นายยศพล เวณุโกเศศ เลขาธิการคณะกรรมการการอาชีวศึกษา มอบหมายให้ นายสง่า แต่เชื้อสาย… นักศึกษา สถาบันเทคโนโลยีป้องกันประเทศ (DTI) เปิดรับ “นักศึกษาฝึกงาน” ด้านพัฒนาเว็บไซต์ Joomla! EZ WebmasterDecember 4, 2025 สถาบันเทคโนโลยีป้องกันประเทศ (DTI) เปิดรับ “นักศึกษาฝึกงาน” ด้านพัฒนาเว็บไซต์ Joomla! ส่วนข้อมูลเทคโนโลยีป้องกันประเทศ สถาบันเทคโนโลยีป้องกันประเทศ (DTI) กำลังมองหานักศึกษาฝึกงานที่มีความสามารถและสนใจการพัฒนาเว็บไซต์ด้วยระบบ Joomla! เพื่อร่วมพัฒนาเว็บไซต์สำหรับเผยแพร่ข้อมูล งานกิจกรรม ข่าวสาร และเอกสารสำคัญขององค์กร ✨ สิ่งที่นักศึกษาจะได้เรียนรู้และปฏิบัติจริง •… คณะวิทยาศาสตร์พลังงานและสิ่งแวดล้อม มจพ. วิทยาเขต ระยอง รับสมัครนักศึกษาใหม่ปี’69 โควตา MOU EZ WebmasterDecember 4, 2025 คณะวิทยาศาสตร์พลังงานและสิ่งแวดล้อม มจพ. วิทยาเขต ระยอง รับสมัครนักศึกษาใหม่ปี 69โควตา MOU คณะวิทยาศาสตร์พลังงานและสิ่งแวดล้อม มหาวิทยาลัยเทคโนโลยีพระจอมเกล้าพระนครเหนือ วิทยาเขต ระยอง รับสมัครนักศึกษาใหม่ ประจำปีการศึกษา 2569 โควตา โรงเรียนที่มีความร่วมมือทางวิชาการ (MOU) สำหรับนักเรียนผู้ที่มีวุฒิการศึกษา… ราชมงคลพระนคร พัฒนา 15 หลักสูตร หนุนเรียนจบเร็ว 3 ปีครึ่ง EZ WebmasterDecember 3, 2025 ราชมงคลพระนคร พัฒนา 15 หลักสูตร หนุนเรียนจบเร็ว 3 ปีครึ่ง ดร.ณัฐวรพล รัชสิริวัชรบุล รักษาราชการแทนอธิการบดี มหาวิทยาลัยเทคโนโลยีราชมงคลพระนคร (ราชมงคลพระนคร) กล่าวว่า ท่ามกลางกระแสการเปลี่ยนแปลงของโลกผู้คนต่างปรับตัวกับการเรียนรู้และพัฒนาตนเองอยู่เสมอ โดยเฉพาะคนรุ่นใหม่เลือกเข้าศึกษาต่อระดับอุดมศึกษามีแนวโน้มต้องการศึกษาต่อในระบบที่มีความยืดหยุ่นมากยิ่งขึ้น และมีการเรียนการสอนที่ตอบโจทย์วิถีชีวิตและการทำงาน ดังนั้นระบบการเรียนแบบ 4 ปี อาจไม่เอื้ออำนวยต่อความต้องการของนักศึกษาในปัจจุบันอีกต่อไป ความท้าทายเหล่านี้จึงทำให้ราชมงคลพระนคร ต้องปรับตัวและพัฒนาหลักสูตรให้สอดคล้องกับโลกแห่งความเป็นจริง… สสวท. มุ่งมั่นสร้างเครือข่ายศึกษานิเทศก์ที่มีความรู้ ความสามารถ และพร้อมเป็นกำลังสำคัญในการยกระดับคุณภาพการจัดการเรียนรู้ของผู้เรียนไทยอย่างยั่งยืน EZ WebmasterDecember 2, 2025 สสวท. มุ่งมั่นสร้างเครือข่ายศึกษานิเทศก์ที่มีความรู้ ความสามารถและพร้อมเป็นกำลังสำคัญในการยกระดับคุณภาพการจัดการเรียนรู้ของผู้เรียนไทยอย่างยั่งยืน สถาบันส่งเสริมการสอนวิทยาศาสตร์และเทคโนโลยี (สสวท.) จัดการอบรมเชิงปฏิบัติการพัฒนาผู้ช่วยวิทยากร หลักสูตรพัฒนาศักยภาพการนิเทศเชิงลึกสำหรับศึกษานิเทศก์ ระหว่างวันที่ 26–30 พฤศจิกายน 2568 ณ โรงแรมดิ เอมเมอรัลด์ กรุงเทพมหานคร การอบรมครั้งนี้จัดขึ้นเพื่อเตรียมความพร้อมให้กับศึกษานิเทศก์ จำนวน 55 คน ที่ผ่านการอบรมหลักสูตรผู้อำนวยการเรียนรู้ (Facilitator) และได้รับการคัดเลือกจาก สสวท. ให้ก้าวสู่บทบาทผู้ช่วยวิทยากร พร้อมทำหน้าที่ขยายผลหลักสูตรนิเทศเชิงลึกไปยังพื้นที่ต่าง ๆ… ทุนดีดี “สหพัฒนพิบูล” เติมฝัน สานต่ออนาคตบุตรพนักงาน มอบ 300 ทุนการศึกษา สร้างพลังแห่งการเรียนรู้ EZ WebmasterDecember 3, 2025 “สหพัฒนพิบูล” เติมฝัน สานต่ออนาคตบุตรพนักงาน มอบ 300 ทุนการศึกษา สร้างพลังแห่งการเรียนรู้ การศึกษา คือรากฐานสำคัญในการสร้างสรรค์อนาคตที่ดีและยั่งยืน ไม่ว่าจะอยู่ในช่วงวัยใดก็ตาม การเรียนรู้ไม่ควรหยุดนิ่ง ความสนใจใฝ่รู้จึงเป็นเรื่องสำคัญอย่างยิ่ง เพราะการมีองค์ความรู้ที่กว้างขวาง จะช่วยให้สามารถแข่งขันและเติบโตในโลกที่เปลี่ยนแปลงได้ บริษัท สหพัฒนพิบูล จำกัด (มหาชน) หรือ SPC สานต่อเจตนารมณ์ความห่วงใยและใส่ใจบุคลากร มุ่งมั่นที่จะเป็นส่วนหนึ่งในการสนับสนุนและส่งเสริมการเรียนรู้ของเยาวชน ผ่าน… YSEALI CyberSafe ASEAN 2026 เปิดรับสมัคร! ทุนเต็มสำหรับผู้นำรุ่นใหม่สู้ภัยสแกมออนไลน์ EZ WebmasterDecember 2, 2025 🔐 YSEALI CyberSafe ASEAN 2026 เปิดรับสมัคร! ทุนเต็มสำหรับผู้นำรุ่นใหม่สู้ภัยสแกมออนไลน์ โครงการ YSEALI CyberSafe ASEAN 2026 เปิดรับสมัครผู้นำรุ่นใหม่จาก 10 ประเทศอาเซียน รวมถึงประเทศไทย เพื่อเข้าร่วมเวิร์กช็อปเชิงลึกด้านการป้องกันและรับมือ ภัยหลอกลวงออนไลน์… เปิดรับแล้ว! ทุนเต็มจำนวน EPOS จาก DAAD สำหรับปริญญาโทด้าน “ความเสี่ยง สิ่งแวดล้อม และความมั่นคงมนุษย์” ที่เยอรมนี EZ WebmasterDecember 2, 2025 🌍 เปิดรับแล้ว! ทุนเต็มจำนวน EPOS จาก DAAD สำหรับปริญญาโทด้าน “ความเสี่ยง สิ่งแวดล้อม และความมั่นคงมนุษย์” ที่เยอรมนี โอกาสใหญ่สำหรับคนไทยสายสิ่งแวดล้อม ภัยพิบัติ และการพัฒนาที่ยั่งยืนมาถึงแล้ว! หลักสูตร MSc Geography of… ทุนปริญญาเอกจาก NTU สิงคโปร์ ประจำปี 2569 EZ WebmasterNovember 28, 2025 📰 ทุนปริญญาเอกจาก NTU สิงคโปร์ ประจำปี 2569 ด้วย มหาวิทยาลัยเทคโนโลยีนันยาง (Nanyang Technological University: NTU) สาธารณรัฐสิงคโปร์ ได้ทูลเกล้าฯ ถวายทุนการศึกษาแด่ สมเด็จพระกนิษฐาธิราชเจ้า กรมสมเด็จพระเทพรัตนราชสุดาฯ เพื่อพระราชทานแก่ผู้มีคุณสมบัติเหมาะสม… ครู-อาจารย์ อบรมออนไลน์ฟรี! รับเกียรติบัตรจากคุรุสภา ปี 2568 รวม 3 หลักสูตรคุณภาพ EZ WebmasterDecember 5, 2025 📣 อบรมออนไลน์ฟรี! รับเกียรติบัตรจากคุรุสภา ปี 2568 รวม 3 หลักสูตรคุณภาพ โอกาสดีสำหรับครู นักศึกษา และผู้ที่สนใจด้านการศึกษา!คุรุสภาเปิดอบรมออนไลน์ฟรี ประจำปี 2568 จำนวน 3 หลักสูตร อบรมผ่านระบบออนไลน์ สะดวก… มจพ. สุดปลื้ม! ศ.ดร.วิไล รังสาดทอง คณะวิทย์ มจพ. คว้ารางวัล นักวิจัยดีเด่นแห่งชาติ ประจำปี 2569 ด้านเกษตรฯ รับ 5 แสน! EZ WebmasterDecember 4, 2025 มจพ. สุดปลื้ม! ศ.ดร.วิไล รังสาดทอง คณะวิทย์ มจพ. คว้ารางวัล นักวิจัยดีเด่นแห่งชาติ ประจำปี 2569 ด้านเกษตรฯ รับ 5 แสน! ศ.ดร.วิไล รังสาดทอง คณะวิทยาศาสตร์ประยุกต์ มหาวิทยาลัยเทคโนโลยีพระจอมเกล้าพระนครเหนือ… สสวท. เชิดชูเกียรติ! เปิดทำเนียบ “DPST Hall of Fame 2568” 4 บัณฑิต พสวท. นักวิจัยดีเด่น-ผู้นำพัฒนาวงการวิทยาศาสตร์ไทย EZ WebmasterDecember 3, 2025 สสวท. เชิดชูเกียรติ! เปิดทำเนียบ “DPST Hall of Fame 2568” 4 บัณฑิต พสวท. นักวิจัยดีเด่น-ผู้นำพัฒนาวงการวิทยาศาสตร์ไทย รองศาสตราจารย์ ดร.ธีระเดช เจียรสุขสกุล ผู้อำนวยการสถาบันส่งเสริมการสอนวิทยาศาสตร์และเทคโนโลยี (สสวท.) ประกาศความภาคภูมิใจในการคัดเลือกผู้สำเร็จการศึกษาทุนโครงการพัฒนาและส่งเสริมผู้มีความสามารถพิเศษทางวิทยาศาสตร์และเทคโนโลยี (พสวท.) เข้าสู่หอเกียรติยศ… แนวทางสำหรับครู – 60 วิธีจัดการเรียนรู้เพื่อพัฒนาผู้เรียนอย่างรอบด้าน EZ WebmasterDecember 2, 2025 📚 แนวทางสำหรับครู – 60 วิธีจัดการเรียนรู้เพื่อพัฒนาผู้เรียนอย่างรอบด้าน สำหรับครูและผู้พัฒนาการเรียนรู้ที่ต้องการยกระดับการสอนให้สอดคล้องกับ สมรรถนะผู้เรียนยุคใหม่ วันนี้มีชุดตัวอย่าง “60 วิธีการจัดการเรียนรู้” ที่ครอบคลุมทั้ง ด้านความรู้ (K) ทักษะ/กระบวนการ (P/S) คุณธรรม เจตคติ ค่านิยม… กิจกรรม มทร.ธัญบุรี พร้อมปั้นบัณฑิตสู่ยุค NEXT GEN การันตีความสำเร็จด้วยคลื่นมหาชน tui sakrapeeDecember 4, 2025 มหาวิทยาลัยเทคโนโลยีราชมงคลธัญบุรี (มทร.ธัญบุรี) สร้างปรากฏการณ์ครั้งสำคัญในแวดวงการศึกษาไทยผ่านงาน ‘RMUTT NEXT GEN: Open House 2026 : เปิดประตูสู่ราชมงคลธัญบุรี 69’ เมื่อวันที่ 27 และ 28 พฤศจิกายน 2568… ม.กรุงเทพ จัดงาน The Shape of Tomorrow: Bangkok Art & Architecture @Dib Bangkok tui sakrapeeDecember 4, 2025 คณะสถาปัตยกรรมศาสตร์ มหาวิทยาลัยกรุงเทพ จัดงาน “The Shape of Tomorrow: Bangkok Art & Architecture” เปิดพื้นที่แลกเปลี่ยนองค์ความรู้และประสบการณ์ระหว่างนักวิชาการ ผู้เชี่ยวชาญในวงการสถาปัตยกรรมที่มุ่งเน้นแนวคิดการออกแบบที่ตอบโจทย์ความยั่งยืน (Sustainability) และการปรับใช้พื้นที่อาคารให้เกิดคุณค่าใหม่ (Adaptive Reuse) โดยปรับเปลี่ยนพื้นที่เดิมให้กลายเป็นพื้นที่สร้างสรรค์อย่าง… มหาวิทยาลัยราชภัฏสวนสุนันทา จับมือ “เอ็ม พาวเวอร์ คอร์ปอเรชั่น” ลงนาม MOU ขับเคลื่อนระบบจัดการวัสดุรีไซเคิล สู่มหาวิทยาลัยสีเขียวอย่างยั่งยืน tui sakrapeeDecember 4, 2025 เมื่อวันพฤหัสบดีที่ 4 ธันวาคม 2568 มหาวิทยาลัยราชภัฏสวนสุนันทา จัดพิธีลงนามบันทึกความเข้าใจ (MOU) ร่วมกับบริษัท เอ็ม พาวเวอร์ คอร์ปอเรชั่น จำกัด ณ ห้องประชุมสภามหาวิทยาลัย เพื่อขับเคลื่อนการพัฒนาระบบการจัดการวัสดุรีไซเคิลภายในมหาวิทยาลัยอย่างเป็นรูปธรรมและยั่งยืน พิธีลงนามในครั้งนี้มีวัตถุประสงค์เพื่อพัฒนากลไกการจัดการวัสดุรีไซเคิลให้มีประสิทธิภาพยิ่งขึ้น ส่งเสริมการคัดแยกขยะอย่างถูกต้อง เพิ่มคุณค่าและสร้างรายได้จากวัสดุที่สามารถนำกลับมาใช้ใหม่… สุดเจ๋ง! สถานศึกษาอาชีวะ รับรางวัลโครงการชีววิถีฯ ระดับประเทศ ประจำปี 2568 สานต่อปณิธานหลักปรัชญาเศรษฐกิจพอเพียงของพ่อหลวงรัชกาลที่ 9 EZ WebmasterDecember 3, 2025 สุดเจ๋ง! สถานศึกษาอาชีวะ รับรางวัลโครงการชีววิถีฯ ระดับประเทศ ประจำปี 2568 สานต่อปณิธานหลักปรัชญาเศรษฐกิจพอเพียงของพ่อหลวงรัชกาลที่ 9 วันนี้ (1 ธ.ค. 68) นายยศพล เวณุโกเศศ เลขาธิการคณะกรรมการการอาชีวศึกษา มอบหมายให้ นายสง่า แต่เชื้อสาย… Search for: Search EZ Webmaster February 21, 2024 EZ Webmaster February 21, 2024 มหาวิทยาลัยเกษตรศาสตร์ เพิ่มที่นั่ง #TCAS67 #QUOTA จากเดิม 8,910 ที่นั่ง เป็น 10,270 ที่นั่ง มหาวิทยาลัยเกษตรศาสตร์ เพิ่มที่นั่ง #TCAS67 #QUOTA จากเดิม 8,910 ที่นั่ง เป็น 10,270 ที่นั่ง มหาวิทยาลัยเกษตรศาสตร์ เพิ่มที่นั่ง #TCAS67 #QUOTA จากเดิม 8,910 ที่นั่ง เป็น 10,270 ที่นั่ง . ดูได้ที่ : 67-TCAS2-Adjust_quantity EZ Webmaster Related Posts อบรมออนไลน์ฟรี! รับเกียรติบัตรจากคุรุสภา ปี 2568 รวม 3 หลักสูตรคุณภาพ ม.ศิลปากร ประกาศเกณฑ์ “รอบ 3 Admission” — เปิดรับ 11 คณะ รวมกว่า 5,393 ที่นั่ง 📌 ร.ร.นารีรัตน์ จ.แพร่ ออกแนวปฏิบัติการแต่งกายช่วงหน้าหนาว อนุญาตใส่เสื้อกันหนาวโทนสุภาพเพื่อความเป็นระเบียบ สถาบันเทคโนโลยีป้องกันประเทศ (DTI) เปิดรับ “นักศึกษาฝึกงาน” ด้านพัฒนาเว็บไซต์ Joomla! คณะวิทยาศาสตร์พลังงานและสิ่งแวดล้อม มจพ. วิทยาเขต ระยอง รับสมัครนักศึกษาใหม่ปี’69 โควตา MOU Post navigation PREVIOUS Previous post: กรรมการส่งเสริมฯ สวนสุนันทา จัดทอดผ้าป่าเพื่อการศึกษา ปี 2567 หนุนนักศึกษาขาดแคลนNEXT Next post: สถาบันการพยาบาลศรีสวรินทิรา สภากาชาด รับผ่าน #TCAS67 #QUOTA หมดเขต 29 มีนาคม 2567 Leave a Reply Cancel replyYour email address will not be published. Required fields are marked * Name* Email* Website Comment* Δ
📌 ร.ร.นารีรัตน์ จ.แพร่ ออกแนวปฏิบัติการแต่งกายช่วงหน้าหนาว อนุญาตใส่เสื้อกันหนาวโทนสุภาพเพื่อความเป็นระเบียบ EZ WebmasterDecember 4, 2025 📌 ร.ร.นารีรัตน์ จ.แพร่ ออกแนวปฏิบัติการแต่งกายช่วงหน้าหนาว อนุญาตใส่เสื้อกันหนาวโทนสุภาพเพื่อความเป็นระเบียบ จากกรณีที่มีการแชร์เรื่องราวในโลกออนไลน์เกี่ยวกับนักเรียนโรงเรียนแห่งหนึ่งในจังหวัดแพร่ ถูกคุณครูยึดเสื้อกันหนาวสีครีม เนื่องจากผิดระเบียบการแต่งกายของสถานศึกษา ขณะที่อุณหภูมิในช่วงเวลาดังกล่าวลดต่ำลงเหลือเพียง 9–10 องศาเซลเซียส จนเกิดกระแสวิพากษ์วิจารณ์ในวงกว้าง ล่าสุดเมื่อวันที่ 4 ธันวาคม 2568 โรงเรียนนารีรัตน์ จังหวัดแพร่… เตรียมให้สุด! เปิดรับสมัครอย่างเป็นทางการ หลักสูตรการออกแบบแฟชั่นและสไตล์ลิ่ง คณะศิลปกรรมศาสตร์ สวนสุนันทา tui sakrapeeDecember 4, 2025 ฝากบอก และแชร์ต่อด้วยนะคะ !!! ด่วนๆๆๆ เปิดรับสมัครอย่างเป็นทางการ NEW หลักสูตร การออกแบบแฟชั่นและสไตล์ลิ่ง น้องคนไหนสนใจและมองหาที่เรียนแฟชั่นและสไตล์ลิ่งอยู่ รีบสมัครด่วนๆ เลยนะคะ มหาวิทยาลัยราชภัฏสวนสุนันทา เปิดรับสมัครนักศึกษาใหม่ ภาคปกติ ระดับปริญญาตรี ประจำปีการศึกษา 2569 (รอบที่… สุดเจ๋ง! สถานศึกษาอาชีวะ รับรางวัลโครงการชีววิถีฯ ระดับประเทศ ประจำปี 2568 สานต่อปณิธานหลักปรัชญาเศรษฐกิจพอเพียงของพ่อหลวงรัชกาลที่ 9 EZ WebmasterDecember 3, 2025 สุดเจ๋ง! สถานศึกษาอาชีวะ รับรางวัลโครงการชีววิถีฯ ระดับประเทศ ประจำปี 2568 สานต่อปณิธานหลักปรัชญาเศรษฐกิจพอเพียงของพ่อหลวงรัชกาลที่ 9 วันนี้ (1 ธ.ค. 68) นายยศพล เวณุโกเศศ เลขาธิการคณะกรรมการการอาชีวศึกษา มอบหมายให้ นายสง่า แต่เชื้อสาย… นักศึกษา สถาบันเทคโนโลยีป้องกันประเทศ (DTI) เปิดรับ “นักศึกษาฝึกงาน” ด้านพัฒนาเว็บไซต์ Joomla! EZ WebmasterDecember 4, 2025 สถาบันเทคโนโลยีป้องกันประเทศ (DTI) เปิดรับ “นักศึกษาฝึกงาน” ด้านพัฒนาเว็บไซต์ Joomla! ส่วนข้อมูลเทคโนโลยีป้องกันประเทศ สถาบันเทคโนโลยีป้องกันประเทศ (DTI) กำลังมองหานักศึกษาฝึกงานที่มีความสามารถและสนใจการพัฒนาเว็บไซต์ด้วยระบบ Joomla! เพื่อร่วมพัฒนาเว็บไซต์สำหรับเผยแพร่ข้อมูล งานกิจกรรม ข่าวสาร และเอกสารสำคัญขององค์กร ✨ สิ่งที่นักศึกษาจะได้เรียนรู้และปฏิบัติจริง •… คณะวิทยาศาสตร์พลังงานและสิ่งแวดล้อม มจพ. วิทยาเขต ระยอง รับสมัครนักศึกษาใหม่ปี’69 โควตา MOU EZ WebmasterDecember 4, 2025 คณะวิทยาศาสตร์พลังงานและสิ่งแวดล้อม มจพ. วิทยาเขต ระยอง รับสมัครนักศึกษาใหม่ปี 69โควตา MOU คณะวิทยาศาสตร์พลังงานและสิ่งแวดล้อม มหาวิทยาลัยเทคโนโลยีพระจอมเกล้าพระนครเหนือ วิทยาเขต ระยอง รับสมัครนักศึกษาใหม่ ประจำปีการศึกษา 2569 โควตา โรงเรียนที่มีความร่วมมือทางวิชาการ (MOU) สำหรับนักเรียนผู้ที่มีวุฒิการศึกษา… ราชมงคลพระนคร พัฒนา 15 หลักสูตร หนุนเรียนจบเร็ว 3 ปีครึ่ง EZ WebmasterDecember 3, 2025 ราชมงคลพระนคร พัฒนา 15 หลักสูตร หนุนเรียนจบเร็ว 3 ปีครึ่ง ดร.ณัฐวรพล รัชสิริวัชรบุล รักษาราชการแทนอธิการบดี มหาวิทยาลัยเทคโนโลยีราชมงคลพระนคร (ราชมงคลพระนคร) กล่าวว่า ท่ามกลางกระแสการเปลี่ยนแปลงของโลกผู้คนต่างปรับตัวกับการเรียนรู้และพัฒนาตนเองอยู่เสมอ โดยเฉพาะคนรุ่นใหม่เลือกเข้าศึกษาต่อระดับอุดมศึกษามีแนวโน้มต้องการศึกษาต่อในระบบที่มีความยืดหยุ่นมากยิ่งขึ้น และมีการเรียนการสอนที่ตอบโจทย์วิถีชีวิตและการทำงาน ดังนั้นระบบการเรียนแบบ 4 ปี อาจไม่เอื้ออำนวยต่อความต้องการของนักศึกษาในปัจจุบันอีกต่อไป ความท้าทายเหล่านี้จึงทำให้ราชมงคลพระนคร ต้องปรับตัวและพัฒนาหลักสูตรให้สอดคล้องกับโลกแห่งความเป็นจริง… สสวท. มุ่งมั่นสร้างเครือข่ายศึกษานิเทศก์ที่มีความรู้ ความสามารถ และพร้อมเป็นกำลังสำคัญในการยกระดับคุณภาพการจัดการเรียนรู้ของผู้เรียนไทยอย่างยั่งยืน EZ WebmasterDecember 2, 2025 สสวท. มุ่งมั่นสร้างเครือข่ายศึกษานิเทศก์ที่มีความรู้ ความสามารถและพร้อมเป็นกำลังสำคัญในการยกระดับคุณภาพการจัดการเรียนรู้ของผู้เรียนไทยอย่างยั่งยืน สถาบันส่งเสริมการสอนวิทยาศาสตร์และเทคโนโลยี (สสวท.) จัดการอบรมเชิงปฏิบัติการพัฒนาผู้ช่วยวิทยากร หลักสูตรพัฒนาศักยภาพการนิเทศเชิงลึกสำหรับศึกษานิเทศก์ ระหว่างวันที่ 26–30 พฤศจิกายน 2568 ณ โรงแรมดิ เอมเมอรัลด์ กรุงเทพมหานคร การอบรมครั้งนี้จัดขึ้นเพื่อเตรียมความพร้อมให้กับศึกษานิเทศก์ จำนวน 55 คน ที่ผ่านการอบรมหลักสูตรผู้อำนวยการเรียนรู้ (Facilitator) และได้รับการคัดเลือกจาก สสวท. ให้ก้าวสู่บทบาทผู้ช่วยวิทยากร พร้อมทำหน้าที่ขยายผลหลักสูตรนิเทศเชิงลึกไปยังพื้นที่ต่าง ๆ… ทุนดีดี “สหพัฒนพิบูล” เติมฝัน สานต่ออนาคตบุตรพนักงาน มอบ 300 ทุนการศึกษา สร้างพลังแห่งการเรียนรู้ EZ WebmasterDecember 3, 2025 “สหพัฒนพิบูล” เติมฝัน สานต่ออนาคตบุตรพนักงาน มอบ 300 ทุนการศึกษา สร้างพลังแห่งการเรียนรู้ การศึกษา คือรากฐานสำคัญในการสร้างสรรค์อนาคตที่ดีและยั่งยืน ไม่ว่าจะอยู่ในช่วงวัยใดก็ตาม การเรียนรู้ไม่ควรหยุดนิ่ง ความสนใจใฝ่รู้จึงเป็นเรื่องสำคัญอย่างยิ่ง เพราะการมีองค์ความรู้ที่กว้างขวาง จะช่วยให้สามารถแข่งขันและเติบโตในโลกที่เปลี่ยนแปลงได้ บริษัท สหพัฒนพิบูล จำกัด (มหาชน) หรือ SPC สานต่อเจตนารมณ์ความห่วงใยและใส่ใจบุคลากร มุ่งมั่นที่จะเป็นส่วนหนึ่งในการสนับสนุนและส่งเสริมการเรียนรู้ของเยาวชน ผ่าน… YSEALI CyberSafe ASEAN 2026 เปิดรับสมัคร! ทุนเต็มสำหรับผู้นำรุ่นใหม่สู้ภัยสแกมออนไลน์ EZ WebmasterDecember 2, 2025 🔐 YSEALI CyberSafe ASEAN 2026 เปิดรับสมัคร! ทุนเต็มสำหรับผู้นำรุ่นใหม่สู้ภัยสแกมออนไลน์ โครงการ YSEALI CyberSafe ASEAN 2026 เปิดรับสมัครผู้นำรุ่นใหม่จาก 10 ประเทศอาเซียน รวมถึงประเทศไทย เพื่อเข้าร่วมเวิร์กช็อปเชิงลึกด้านการป้องกันและรับมือ ภัยหลอกลวงออนไลน์… เปิดรับแล้ว! ทุนเต็มจำนวน EPOS จาก DAAD สำหรับปริญญาโทด้าน “ความเสี่ยง สิ่งแวดล้อม และความมั่นคงมนุษย์” ที่เยอรมนี EZ WebmasterDecember 2, 2025 🌍 เปิดรับแล้ว! ทุนเต็มจำนวน EPOS จาก DAAD สำหรับปริญญาโทด้าน “ความเสี่ยง สิ่งแวดล้อม และความมั่นคงมนุษย์” ที่เยอรมนี โอกาสใหญ่สำหรับคนไทยสายสิ่งแวดล้อม ภัยพิบัติ และการพัฒนาที่ยั่งยืนมาถึงแล้ว! หลักสูตร MSc Geography of… ทุนปริญญาเอกจาก NTU สิงคโปร์ ประจำปี 2569 EZ WebmasterNovember 28, 2025 📰 ทุนปริญญาเอกจาก NTU สิงคโปร์ ประจำปี 2569 ด้วย มหาวิทยาลัยเทคโนโลยีนันยาง (Nanyang Technological University: NTU) สาธารณรัฐสิงคโปร์ ได้ทูลเกล้าฯ ถวายทุนการศึกษาแด่ สมเด็จพระกนิษฐาธิราชเจ้า กรมสมเด็จพระเทพรัตนราชสุดาฯ เพื่อพระราชทานแก่ผู้มีคุณสมบัติเหมาะสม… ครู-อาจารย์ อบรมออนไลน์ฟรี! รับเกียรติบัตรจากคุรุสภา ปี 2568 รวม 3 หลักสูตรคุณภาพ EZ WebmasterDecember 5, 2025 📣 อบรมออนไลน์ฟรี! รับเกียรติบัตรจากคุรุสภา ปี 2568 รวม 3 หลักสูตรคุณภาพ โอกาสดีสำหรับครู นักศึกษา และผู้ที่สนใจด้านการศึกษา!คุรุสภาเปิดอบรมออนไลน์ฟรี ประจำปี 2568 จำนวน 3 หลักสูตร อบรมผ่านระบบออนไลน์ สะดวก… มจพ. สุดปลื้ม! ศ.ดร.วิไล รังสาดทอง คณะวิทย์ มจพ. คว้ารางวัล นักวิจัยดีเด่นแห่งชาติ ประจำปี 2569 ด้านเกษตรฯ รับ 5 แสน! EZ WebmasterDecember 4, 2025 มจพ. สุดปลื้ม! ศ.ดร.วิไล รังสาดทอง คณะวิทย์ มจพ. คว้ารางวัล นักวิจัยดีเด่นแห่งชาติ ประจำปี 2569 ด้านเกษตรฯ รับ 5 แสน! ศ.ดร.วิไล รังสาดทอง คณะวิทยาศาสตร์ประยุกต์ มหาวิทยาลัยเทคโนโลยีพระจอมเกล้าพระนครเหนือ… สสวท. เชิดชูเกียรติ! เปิดทำเนียบ “DPST Hall of Fame 2568” 4 บัณฑิต พสวท. นักวิจัยดีเด่น-ผู้นำพัฒนาวงการวิทยาศาสตร์ไทย EZ WebmasterDecember 3, 2025 สสวท. เชิดชูเกียรติ! เปิดทำเนียบ “DPST Hall of Fame 2568” 4 บัณฑิต พสวท. นักวิจัยดีเด่น-ผู้นำพัฒนาวงการวิทยาศาสตร์ไทย รองศาสตราจารย์ ดร.ธีระเดช เจียรสุขสกุล ผู้อำนวยการสถาบันส่งเสริมการสอนวิทยาศาสตร์และเทคโนโลยี (สสวท.) ประกาศความภาคภูมิใจในการคัดเลือกผู้สำเร็จการศึกษาทุนโครงการพัฒนาและส่งเสริมผู้มีความสามารถพิเศษทางวิทยาศาสตร์และเทคโนโลยี (พสวท.) เข้าสู่หอเกียรติยศ… แนวทางสำหรับครู – 60 วิธีจัดการเรียนรู้เพื่อพัฒนาผู้เรียนอย่างรอบด้าน EZ WebmasterDecember 2, 2025 📚 แนวทางสำหรับครู – 60 วิธีจัดการเรียนรู้เพื่อพัฒนาผู้เรียนอย่างรอบด้าน สำหรับครูและผู้พัฒนาการเรียนรู้ที่ต้องการยกระดับการสอนให้สอดคล้องกับ สมรรถนะผู้เรียนยุคใหม่ วันนี้มีชุดตัวอย่าง “60 วิธีการจัดการเรียนรู้” ที่ครอบคลุมทั้ง ด้านความรู้ (K) ทักษะ/กระบวนการ (P/S) คุณธรรม เจตคติ ค่านิยม… กิจกรรม มทร.ธัญบุรี พร้อมปั้นบัณฑิตสู่ยุค NEXT GEN การันตีความสำเร็จด้วยคลื่นมหาชน tui sakrapeeDecember 4, 2025 มหาวิทยาลัยเทคโนโลยีราชมงคลธัญบุรี (มทร.ธัญบุรี) สร้างปรากฏการณ์ครั้งสำคัญในแวดวงการศึกษาไทยผ่านงาน ‘RMUTT NEXT GEN: Open House 2026 : เปิดประตูสู่ราชมงคลธัญบุรี 69’ เมื่อวันที่ 27 และ 28 พฤศจิกายน 2568… ม.กรุงเทพ จัดงาน The Shape of Tomorrow: Bangkok Art & Architecture @Dib Bangkok tui sakrapeeDecember 4, 2025 คณะสถาปัตยกรรมศาสตร์ มหาวิทยาลัยกรุงเทพ จัดงาน “The Shape of Tomorrow: Bangkok Art & Architecture” เปิดพื้นที่แลกเปลี่ยนองค์ความรู้และประสบการณ์ระหว่างนักวิชาการ ผู้เชี่ยวชาญในวงการสถาปัตยกรรมที่มุ่งเน้นแนวคิดการออกแบบที่ตอบโจทย์ความยั่งยืน (Sustainability) และการปรับใช้พื้นที่อาคารให้เกิดคุณค่าใหม่ (Adaptive Reuse) โดยปรับเปลี่ยนพื้นที่เดิมให้กลายเป็นพื้นที่สร้างสรรค์อย่าง… มหาวิทยาลัยราชภัฏสวนสุนันทา จับมือ “เอ็ม พาวเวอร์ คอร์ปอเรชั่น” ลงนาม MOU ขับเคลื่อนระบบจัดการวัสดุรีไซเคิล สู่มหาวิทยาลัยสีเขียวอย่างยั่งยืน tui sakrapeeDecember 4, 2025 เมื่อวันพฤหัสบดีที่ 4 ธันวาคม 2568 มหาวิทยาลัยราชภัฏสวนสุนันทา จัดพิธีลงนามบันทึกความเข้าใจ (MOU) ร่วมกับบริษัท เอ็ม พาวเวอร์ คอร์ปอเรชั่น จำกัด ณ ห้องประชุมสภามหาวิทยาลัย เพื่อขับเคลื่อนการพัฒนาระบบการจัดการวัสดุรีไซเคิลภายในมหาวิทยาลัยอย่างเป็นรูปธรรมและยั่งยืน พิธีลงนามในครั้งนี้มีวัตถุประสงค์เพื่อพัฒนากลไกการจัดการวัสดุรีไซเคิลให้มีประสิทธิภาพยิ่งขึ้น ส่งเสริมการคัดแยกขยะอย่างถูกต้อง เพิ่มคุณค่าและสร้างรายได้จากวัสดุที่สามารถนำกลับมาใช้ใหม่… สุดเจ๋ง! สถานศึกษาอาชีวะ รับรางวัลโครงการชีววิถีฯ ระดับประเทศ ประจำปี 2568 สานต่อปณิธานหลักปรัชญาเศรษฐกิจพอเพียงของพ่อหลวงรัชกาลที่ 9 EZ WebmasterDecember 3, 2025 สุดเจ๋ง! สถานศึกษาอาชีวะ รับรางวัลโครงการชีววิถีฯ ระดับประเทศ ประจำปี 2568 สานต่อปณิธานหลักปรัชญาเศรษฐกิจพอเพียงของพ่อหลวงรัชกาลที่ 9 วันนี้ (1 ธ.ค. 68) นายยศพล เวณุโกเศศ เลขาธิการคณะกรรมการการอาชีวศึกษา มอบหมายให้ นายสง่า แต่เชื้อสาย… Search for: Search EZ Webmaster February 21, 2024 EZ Webmaster February 21, 2024 มหาวิทยาลัยเกษตรศาสตร์ เพิ่มที่นั่ง #TCAS67 #QUOTA จากเดิม 8,910 ที่นั่ง เป็น 10,270 ที่นั่ง มหาวิทยาลัยเกษตรศาสตร์ เพิ่มที่นั่ง #TCAS67 #QUOTA จากเดิม 8,910 ที่นั่ง เป็น 10,270 ที่นั่ง มหาวิทยาลัยเกษตรศาสตร์ เพิ่มที่นั่ง #TCAS67 #QUOTA จากเดิม 8,910 ที่นั่ง เป็น 10,270 ที่นั่ง . ดูได้ที่ : 67-TCAS2-Adjust_quantity EZ Webmaster Related Posts อบรมออนไลน์ฟรี! รับเกียรติบัตรจากคุรุสภา ปี 2568 รวม 3 หลักสูตรคุณภาพ ม.ศิลปากร ประกาศเกณฑ์ “รอบ 3 Admission” — เปิดรับ 11 คณะ รวมกว่า 5,393 ที่นั่ง 📌 ร.ร.นารีรัตน์ จ.แพร่ ออกแนวปฏิบัติการแต่งกายช่วงหน้าหนาว อนุญาตใส่เสื้อกันหนาวโทนสุภาพเพื่อความเป็นระเบียบ สถาบันเทคโนโลยีป้องกันประเทศ (DTI) เปิดรับ “นักศึกษาฝึกงาน” ด้านพัฒนาเว็บไซต์ Joomla! คณะวิทยาศาสตร์พลังงานและสิ่งแวดล้อม มจพ. วิทยาเขต ระยอง รับสมัครนักศึกษาใหม่ปี’69 โควตา MOU Post navigation PREVIOUS Previous post: กรรมการส่งเสริมฯ สวนสุนันทา จัดทอดผ้าป่าเพื่อการศึกษา ปี 2567 หนุนนักศึกษาขาดแคลนNEXT Next post: สถาบันการพยาบาลศรีสวรินทิรา สภากาชาด รับผ่าน #TCAS67 #QUOTA หมดเขต 29 มีนาคม 2567 Leave a Reply Cancel replyYour email address will not be published. Required fields are marked * Name* Email* Website Comment* Δ
เตรียมให้สุด! เปิดรับสมัครอย่างเป็นทางการ หลักสูตรการออกแบบแฟชั่นและสไตล์ลิ่ง คณะศิลปกรรมศาสตร์ สวนสุนันทา tui sakrapeeDecember 4, 2025 ฝากบอก และแชร์ต่อด้วยนะคะ !!! ด่วนๆๆๆ เปิดรับสมัครอย่างเป็นทางการ NEW หลักสูตร การออกแบบแฟชั่นและสไตล์ลิ่ง น้องคนไหนสนใจและมองหาที่เรียนแฟชั่นและสไตล์ลิ่งอยู่ รีบสมัครด่วนๆ เลยนะคะ มหาวิทยาลัยราชภัฏสวนสุนันทา เปิดรับสมัครนักศึกษาใหม่ ภาคปกติ ระดับปริญญาตรี ประจำปีการศึกษา 2569 (รอบที่… สุดเจ๋ง! สถานศึกษาอาชีวะ รับรางวัลโครงการชีววิถีฯ ระดับประเทศ ประจำปี 2568 สานต่อปณิธานหลักปรัชญาเศรษฐกิจพอเพียงของพ่อหลวงรัชกาลที่ 9 EZ WebmasterDecember 3, 2025 สุดเจ๋ง! สถานศึกษาอาชีวะ รับรางวัลโครงการชีววิถีฯ ระดับประเทศ ประจำปี 2568 สานต่อปณิธานหลักปรัชญาเศรษฐกิจพอเพียงของพ่อหลวงรัชกาลที่ 9 วันนี้ (1 ธ.ค. 68) นายยศพล เวณุโกเศศ เลขาธิการคณะกรรมการการอาชีวศึกษา มอบหมายให้ นายสง่า แต่เชื้อสาย…
สุดเจ๋ง! สถานศึกษาอาชีวะ รับรางวัลโครงการชีววิถีฯ ระดับประเทศ ประจำปี 2568 สานต่อปณิธานหลักปรัชญาเศรษฐกิจพอเพียงของพ่อหลวงรัชกาลที่ 9 EZ WebmasterDecember 3, 2025 สุดเจ๋ง! สถานศึกษาอาชีวะ รับรางวัลโครงการชีววิถีฯ ระดับประเทศ ประจำปี 2568 สานต่อปณิธานหลักปรัชญาเศรษฐกิจพอเพียงของพ่อหลวงรัชกาลที่ 9 วันนี้ (1 ธ.ค. 68) นายยศพล เวณุโกเศศ เลขาธิการคณะกรรมการการอาชีวศึกษา มอบหมายให้ นายสง่า แต่เชื้อสาย…
สถาบันเทคโนโลยีป้องกันประเทศ (DTI) เปิดรับ “นักศึกษาฝึกงาน” ด้านพัฒนาเว็บไซต์ Joomla! EZ WebmasterDecember 4, 2025 สถาบันเทคโนโลยีป้องกันประเทศ (DTI) เปิดรับ “นักศึกษาฝึกงาน” ด้านพัฒนาเว็บไซต์ Joomla! ส่วนข้อมูลเทคโนโลยีป้องกันประเทศ สถาบันเทคโนโลยีป้องกันประเทศ (DTI) กำลังมองหานักศึกษาฝึกงานที่มีความสามารถและสนใจการพัฒนาเว็บไซต์ด้วยระบบ Joomla! เพื่อร่วมพัฒนาเว็บไซต์สำหรับเผยแพร่ข้อมูล งานกิจกรรม ข่าวสาร และเอกสารสำคัญขององค์กร ✨ สิ่งที่นักศึกษาจะได้เรียนรู้และปฏิบัติจริง •… คณะวิทยาศาสตร์พลังงานและสิ่งแวดล้อม มจพ. วิทยาเขต ระยอง รับสมัครนักศึกษาใหม่ปี’69 โควตา MOU EZ WebmasterDecember 4, 2025 คณะวิทยาศาสตร์พลังงานและสิ่งแวดล้อม มจพ. วิทยาเขต ระยอง รับสมัครนักศึกษาใหม่ปี 69โควตา MOU คณะวิทยาศาสตร์พลังงานและสิ่งแวดล้อม มหาวิทยาลัยเทคโนโลยีพระจอมเกล้าพระนครเหนือ วิทยาเขต ระยอง รับสมัครนักศึกษาใหม่ ประจำปีการศึกษา 2569 โควตา โรงเรียนที่มีความร่วมมือทางวิชาการ (MOU) สำหรับนักเรียนผู้ที่มีวุฒิการศึกษา… ราชมงคลพระนคร พัฒนา 15 หลักสูตร หนุนเรียนจบเร็ว 3 ปีครึ่ง EZ WebmasterDecember 3, 2025 ราชมงคลพระนคร พัฒนา 15 หลักสูตร หนุนเรียนจบเร็ว 3 ปีครึ่ง ดร.ณัฐวรพล รัชสิริวัชรบุล รักษาราชการแทนอธิการบดี มหาวิทยาลัยเทคโนโลยีราชมงคลพระนคร (ราชมงคลพระนคร) กล่าวว่า ท่ามกลางกระแสการเปลี่ยนแปลงของโลกผู้คนต่างปรับตัวกับการเรียนรู้และพัฒนาตนเองอยู่เสมอ โดยเฉพาะคนรุ่นใหม่เลือกเข้าศึกษาต่อระดับอุดมศึกษามีแนวโน้มต้องการศึกษาต่อในระบบที่มีความยืดหยุ่นมากยิ่งขึ้น และมีการเรียนการสอนที่ตอบโจทย์วิถีชีวิตและการทำงาน ดังนั้นระบบการเรียนแบบ 4 ปี อาจไม่เอื้ออำนวยต่อความต้องการของนักศึกษาในปัจจุบันอีกต่อไป ความท้าทายเหล่านี้จึงทำให้ราชมงคลพระนคร ต้องปรับตัวและพัฒนาหลักสูตรให้สอดคล้องกับโลกแห่งความเป็นจริง… สสวท. มุ่งมั่นสร้างเครือข่ายศึกษานิเทศก์ที่มีความรู้ ความสามารถ และพร้อมเป็นกำลังสำคัญในการยกระดับคุณภาพการจัดการเรียนรู้ของผู้เรียนไทยอย่างยั่งยืน EZ WebmasterDecember 2, 2025 สสวท. มุ่งมั่นสร้างเครือข่ายศึกษานิเทศก์ที่มีความรู้ ความสามารถและพร้อมเป็นกำลังสำคัญในการยกระดับคุณภาพการจัดการเรียนรู้ของผู้เรียนไทยอย่างยั่งยืน สถาบันส่งเสริมการสอนวิทยาศาสตร์และเทคโนโลยี (สสวท.) จัดการอบรมเชิงปฏิบัติการพัฒนาผู้ช่วยวิทยากร หลักสูตรพัฒนาศักยภาพการนิเทศเชิงลึกสำหรับศึกษานิเทศก์ ระหว่างวันที่ 26–30 พฤศจิกายน 2568 ณ โรงแรมดิ เอมเมอรัลด์ กรุงเทพมหานคร การอบรมครั้งนี้จัดขึ้นเพื่อเตรียมความพร้อมให้กับศึกษานิเทศก์ จำนวน 55 คน ที่ผ่านการอบรมหลักสูตรผู้อำนวยการเรียนรู้ (Facilitator) และได้รับการคัดเลือกจาก สสวท. ให้ก้าวสู่บทบาทผู้ช่วยวิทยากร พร้อมทำหน้าที่ขยายผลหลักสูตรนิเทศเชิงลึกไปยังพื้นที่ต่าง ๆ… ทุนดีดี “สหพัฒนพิบูล” เติมฝัน สานต่ออนาคตบุตรพนักงาน มอบ 300 ทุนการศึกษา สร้างพลังแห่งการเรียนรู้ EZ WebmasterDecember 3, 2025 “สหพัฒนพิบูล” เติมฝัน สานต่ออนาคตบุตรพนักงาน มอบ 300 ทุนการศึกษา สร้างพลังแห่งการเรียนรู้ การศึกษา คือรากฐานสำคัญในการสร้างสรรค์อนาคตที่ดีและยั่งยืน ไม่ว่าจะอยู่ในช่วงวัยใดก็ตาม การเรียนรู้ไม่ควรหยุดนิ่ง ความสนใจใฝ่รู้จึงเป็นเรื่องสำคัญอย่างยิ่ง เพราะการมีองค์ความรู้ที่กว้างขวาง จะช่วยให้สามารถแข่งขันและเติบโตในโลกที่เปลี่ยนแปลงได้ บริษัท สหพัฒนพิบูล จำกัด (มหาชน) หรือ SPC สานต่อเจตนารมณ์ความห่วงใยและใส่ใจบุคลากร มุ่งมั่นที่จะเป็นส่วนหนึ่งในการสนับสนุนและส่งเสริมการเรียนรู้ของเยาวชน ผ่าน… YSEALI CyberSafe ASEAN 2026 เปิดรับสมัคร! ทุนเต็มสำหรับผู้นำรุ่นใหม่สู้ภัยสแกมออนไลน์ EZ WebmasterDecember 2, 2025 🔐 YSEALI CyberSafe ASEAN 2026 เปิดรับสมัคร! ทุนเต็มสำหรับผู้นำรุ่นใหม่สู้ภัยสแกมออนไลน์ โครงการ YSEALI CyberSafe ASEAN 2026 เปิดรับสมัครผู้นำรุ่นใหม่จาก 10 ประเทศอาเซียน รวมถึงประเทศไทย เพื่อเข้าร่วมเวิร์กช็อปเชิงลึกด้านการป้องกันและรับมือ ภัยหลอกลวงออนไลน์… เปิดรับแล้ว! ทุนเต็มจำนวน EPOS จาก DAAD สำหรับปริญญาโทด้าน “ความเสี่ยง สิ่งแวดล้อม และความมั่นคงมนุษย์” ที่เยอรมนี EZ WebmasterDecember 2, 2025 🌍 เปิดรับแล้ว! ทุนเต็มจำนวน EPOS จาก DAAD สำหรับปริญญาโทด้าน “ความเสี่ยง สิ่งแวดล้อม และความมั่นคงมนุษย์” ที่เยอรมนี โอกาสใหญ่สำหรับคนไทยสายสิ่งแวดล้อม ภัยพิบัติ และการพัฒนาที่ยั่งยืนมาถึงแล้ว! หลักสูตร MSc Geography of… ทุนปริญญาเอกจาก NTU สิงคโปร์ ประจำปี 2569 EZ WebmasterNovember 28, 2025 📰 ทุนปริญญาเอกจาก NTU สิงคโปร์ ประจำปี 2569 ด้วย มหาวิทยาลัยเทคโนโลยีนันยาง (Nanyang Technological University: NTU) สาธารณรัฐสิงคโปร์ ได้ทูลเกล้าฯ ถวายทุนการศึกษาแด่ สมเด็จพระกนิษฐาธิราชเจ้า กรมสมเด็จพระเทพรัตนราชสุดาฯ เพื่อพระราชทานแก่ผู้มีคุณสมบัติเหมาะสม… ครู-อาจารย์ อบรมออนไลน์ฟรี! รับเกียรติบัตรจากคุรุสภา ปี 2568 รวม 3 หลักสูตรคุณภาพ EZ WebmasterDecember 5, 2025 📣 อบรมออนไลน์ฟรี! รับเกียรติบัตรจากคุรุสภา ปี 2568 รวม 3 หลักสูตรคุณภาพ โอกาสดีสำหรับครู นักศึกษา และผู้ที่สนใจด้านการศึกษา!คุรุสภาเปิดอบรมออนไลน์ฟรี ประจำปี 2568 จำนวน 3 หลักสูตร อบรมผ่านระบบออนไลน์ สะดวก… มจพ. สุดปลื้ม! ศ.ดร.วิไล รังสาดทอง คณะวิทย์ มจพ. คว้ารางวัล นักวิจัยดีเด่นแห่งชาติ ประจำปี 2569 ด้านเกษตรฯ รับ 5 แสน! EZ WebmasterDecember 4, 2025 มจพ. สุดปลื้ม! ศ.ดร.วิไล รังสาดทอง คณะวิทย์ มจพ. คว้ารางวัล นักวิจัยดีเด่นแห่งชาติ ประจำปี 2569 ด้านเกษตรฯ รับ 5 แสน! ศ.ดร.วิไล รังสาดทอง คณะวิทยาศาสตร์ประยุกต์ มหาวิทยาลัยเทคโนโลยีพระจอมเกล้าพระนครเหนือ… สสวท. เชิดชูเกียรติ! เปิดทำเนียบ “DPST Hall of Fame 2568” 4 บัณฑิต พสวท. นักวิจัยดีเด่น-ผู้นำพัฒนาวงการวิทยาศาสตร์ไทย EZ WebmasterDecember 3, 2025 สสวท. เชิดชูเกียรติ! เปิดทำเนียบ “DPST Hall of Fame 2568” 4 บัณฑิต พสวท. นักวิจัยดีเด่น-ผู้นำพัฒนาวงการวิทยาศาสตร์ไทย รองศาสตราจารย์ ดร.ธีระเดช เจียรสุขสกุล ผู้อำนวยการสถาบันส่งเสริมการสอนวิทยาศาสตร์และเทคโนโลยี (สสวท.) ประกาศความภาคภูมิใจในการคัดเลือกผู้สำเร็จการศึกษาทุนโครงการพัฒนาและส่งเสริมผู้มีความสามารถพิเศษทางวิทยาศาสตร์และเทคโนโลยี (พสวท.) เข้าสู่หอเกียรติยศ… แนวทางสำหรับครู – 60 วิธีจัดการเรียนรู้เพื่อพัฒนาผู้เรียนอย่างรอบด้าน EZ WebmasterDecember 2, 2025 📚 แนวทางสำหรับครู – 60 วิธีจัดการเรียนรู้เพื่อพัฒนาผู้เรียนอย่างรอบด้าน สำหรับครูและผู้พัฒนาการเรียนรู้ที่ต้องการยกระดับการสอนให้สอดคล้องกับ สมรรถนะผู้เรียนยุคใหม่ วันนี้มีชุดตัวอย่าง “60 วิธีการจัดการเรียนรู้” ที่ครอบคลุมทั้ง ด้านความรู้ (K) ทักษะ/กระบวนการ (P/S) คุณธรรม เจตคติ ค่านิยม… กิจกรรม มทร.ธัญบุรี พร้อมปั้นบัณฑิตสู่ยุค NEXT GEN การันตีความสำเร็จด้วยคลื่นมหาชน tui sakrapeeDecember 4, 2025 มหาวิทยาลัยเทคโนโลยีราชมงคลธัญบุรี (มทร.ธัญบุรี) สร้างปรากฏการณ์ครั้งสำคัญในแวดวงการศึกษาไทยผ่านงาน ‘RMUTT NEXT GEN: Open House 2026 : เปิดประตูสู่ราชมงคลธัญบุรี 69’ เมื่อวันที่ 27 และ 28 พฤศจิกายน 2568… ม.กรุงเทพ จัดงาน The Shape of Tomorrow: Bangkok Art & Architecture @Dib Bangkok tui sakrapeeDecember 4, 2025 คณะสถาปัตยกรรมศาสตร์ มหาวิทยาลัยกรุงเทพ จัดงาน “The Shape of Tomorrow: Bangkok Art & Architecture” เปิดพื้นที่แลกเปลี่ยนองค์ความรู้และประสบการณ์ระหว่างนักวิชาการ ผู้เชี่ยวชาญในวงการสถาปัตยกรรมที่มุ่งเน้นแนวคิดการออกแบบที่ตอบโจทย์ความยั่งยืน (Sustainability) และการปรับใช้พื้นที่อาคารให้เกิดคุณค่าใหม่ (Adaptive Reuse) โดยปรับเปลี่ยนพื้นที่เดิมให้กลายเป็นพื้นที่สร้างสรรค์อย่าง… มหาวิทยาลัยราชภัฏสวนสุนันทา จับมือ “เอ็ม พาวเวอร์ คอร์ปอเรชั่น” ลงนาม MOU ขับเคลื่อนระบบจัดการวัสดุรีไซเคิล สู่มหาวิทยาลัยสีเขียวอย่างยั่งยืน tui sakrapeeDecember 4, 2025 เมื่อวันพฤหัสบดีที่ 4 ธันวาคม 2568 มหาวิทยาลัยราชภัฏสวนสุนันทา จัดพิธีลงนามบันทึกความเข้าใจ (MOU) ร่วมกับบริษัท เอ็ม พาวเวอร์ คอร์ปอเรชั่น จำกัด ณ ห้องประชุมสภามหาวิทยาลัย เพื่อขับเคลื่อนการพัฒนาระบบการจัดการวัสดุรีไซเคิลภายในมหาวิทยาลัยอย่างเป็นรูปธรรมและยั่งยืน พิธีลงนามในครั้งนี้มีวัตถุประสงค์เพื่อพัฒนากลไกการจัดการวัสดุรีไซเคิลให้มีประสิทธิภาพยิ่งขึ้น ส่งเสริมการคัดแยกขยะอย่างถูกต้อง เพิ่มคุณค่าและสร้างรายได้จากวัสดุที่สามารถนำกลับมาใช้ใหม่… สุดเจ๋ง! สถานศึกษาอาชีวะ รับรางวัลโครงการชีววิถีฯ ระดับประเทศ ประจำปี 2568 สานต่อปณิธานหลักปรัชญาเศรษฐกิจพอเพียงของพ่อหลวงรัชกาลที่ 9 EZ WebmasterDecember 3, 2025 สุดเจ๋ง! สถานศึกษาอาชีวะ รับรางวัลโครงการชีววิถีฯ ระดับประเทศ ประจำปี 2568 สานต่อปณิธานหลักปรัชญาเศรษฐกิจพอเพียงของพ่อหลวงรัชกาลที่ 9 วันนี้ (1 ธ.ค. 68) นายยศพล เวณุโกเศศ เลขาธิการคณะกรรมการการอาชีวศึกษา มอบหมายให้ นายสง่า แต่เชื้อสาย… Search for: Search EZ Webmaster February 21, 2024 EZ Webmaster February 21, 2024 มหาวิทยาลัยเกษตรศาสตร์ เพิ่มที่นั่ง #TCAS67 #QUOTA จากเดิม 8,910 ที่นั่ง เป็น 10,270 ที่นั่ง มหาวิทยาลัยเกษตรศาสตร์ เพิ่มที่นั่ง #TCAS67 #QUOTA จากเดิม 8,910 ที่นั่ง เป็น 10,270 ที่นั่ง มหาวิทยาลัยเกษตรศาสตร์ เพิ่มที่นั่ง #TCAS67 #QUOTA จากเดิม 8,910 ที่นั่ง เป็น 10,270 ที่นั่ง . ดูได้ที่ : 67-TCAS2-Adjust_quantity EZ Webmaster Related Posts อบรมออนไลน์ฟรี! รับเกียรติบัตรจากคุรุสภา ปี 2568 รวม 3 หลักสูตรคุณภาพ ม.ศิลปากร ประกาศเกณฑ์ “รอบ 3 Admission” — เปิดรับ 11 คณะ รวมกว่า 5,393 ที่นั่ง 📌 ร.ร.นารีรัตน์ จ.แพร่ ออกแนวปฏิบัติการแต่งกายช่วงหน้าหนาว อนุญาตใส่เสื้อกันหนาวโทนสุภาพเพื่อความเป็นระเบียบ สถาบันเทคโนโลยีป้องกันประเทศ (DTI) เปิดรับ “นักศึกษาฝึกงาน” ด้านพัฒนาเว็บไซต์ Joomla! คณะวิทยาศาสตร์พลังงานและสิ่งแวดล้อม มจพ. วิทยาเขต ระยอง รับสมัครนักศึกษาใหม่ปี’69 โควตา MOU Post navigation PREVIOUS Previous post: กรรมการส่งเสริมฯ สวนสุนันทา จัดทอดผ้าป่าเพื่อการศึกษา ปี 2567 หนุนนักศึกษาขาดแคลนNEXT Next post: สถาบันการพยาบาลศรีสวรินทิรา สภากาชาด รับผ่าน #TCAS67 #QUOTA หมดเขต 29 มีนาคม 2567 Leave a Reply Cancel replyYour email address will not be published. Required fields are marked * Name* Email* Website Comment* Δ
คณะวิทยาศาสตร์พลังงานและสิ่งแวดล้อม มจพ. วิทยาเขต ระยอง รับสมัครนักศึกษาใหม่ปี’69 โควตา MOU EZ WebmasterDecember 4, 2025 คณะวิทยาศาสตร์พลังงานและสิ่งแวดล้อม มจพ. วิทยาเขต ระยอง รับสมัครนักศึกษาใหม่ปี 69โควตา MOU คณะวิทยาศาสตร์พลังงานและสิ่งแวดล้อม มหาวิทยาลัยเทคโนโลยีพระจอมเกล้าพระนครเหนือ วิทยาเขต ระยอง รับสมัครนักศึกษาใหม่ ประจำปีการศึกษา 2569 โควตา โรงเรียนที่มีความร่วมมือทางวิชาการ (MOU) สำหรับนักเรียนผู้ที่มีวุฒิการศึกษา… ราชมงคลพระนคร พัฒนา 15 หลักสูตร หนุนเรียนจบเร็ว 3 ปีครึ่ง EZ WebmasterDecember 3, 2025 ราชมงคลพระนคร พัฒนา 15 หลักสูตร หนุนเรียนจบเร็ว 3 ปีครึ่ง ดร.ณัฐวรพล รัชสิริวัชรบุล รักษาราชการแทนอธิการบดี มหาวิทยาลัยเทคโนโลยีราชมงคลพระนคร (ราชมงคลพระนคร) กล่าวว่า ท่ามกลางกระแสการเปลี่ยนแปลงของโลกผู้คนต่างปรับตัวกับการเรียนรู้และพัฒนาตนเองอยู่เสมอ โดยเฉพาะคนรุ่นใหม่เลือกเข้าศึกษาต่อระดับอุดมศึกษามีแนวโน้มต้องการศึกษาต่อในระบบที่มีความยืดหยุ่นมากยิ่งขึ้น และมีการเรียนการสอนที่ตอบโจทย์วิถีชีวิตและการทำงาน ดังนั้นระบบการเรียนแบบ 4 ปี อาจไม่เอื้ออำนวยต่อความต้องการของนักศึกษาในปัจจุบันอีกต่อไป ความท้าทายเหล่านี้จึงทำให้ราชมงคลพระนคร ต้องปรับตัวและพัฒนาหลักสูตรให้สอดคล้องกับโลกแห่งความเป็นจริง… สสวท. มุ่งมั่นสร้างเครือข่ายศึกษานิเทศก์ที่มีความรู้ ความสามารถ และพร้อมเป็นกำลังสำคัญในการยกระดับคุณภาพการจัดการเรียนรู้ของผู้เรียนไทยอย่างยั่งยืน EZ WebmasterDecember 2, 2025 สสวท. มุ่งมั่นสร้างเครือข่ายศึกษานิเทศก์ที่มีความรู้ ความสามารถและพร้อมเป็นกำลังสำคัญในการยกระดับคุณภาพการจัดการเรียนรู้ของผู้เรียนไทยอย่างยั่งยืน สถาบันส่งเสริมการสอนวิทยาศาสตร์และเทคโนโลยี (สสวท.) จัดการอบรมเชิงปฏิบัติการพัฒนาผู้ช่วยวิทยากร หลักสูตรพัฒนาศักยภาพการนิเทศเชิงลึกสำหรับศึกษานิเทศก์ ระหว่างวันที่ 26–30 พฤศจิกายน 2568 ณ โรงแรมดิ เอมเมอรัลด์ กรุงเทพมหานคร การอบรมครั้งนี้จัดขึ้นเพื่อเตรียมความพร้อมให้กับศึกษานิเทศก์ จำนวน 55 คน ที่ผ่านการอบรมหลักสูตรผู้อำนวยการเรียนรู้ (Facilitator) และได้รับการคัดเลือกจาก สสวท. ให้ก้าวสู่บทบาทผู้ช่วยวิทยากร พร้อมทำหน้าที่ขยายผลหลักสูตรนิเทศเชิงลึกไปยังพื้นที่ต่าง ๆ… ทุนดีดี “สหพัฒนพิบูล” เติมฝัน สานต่ออนาคตบุตรพนักงาน มอบ 300 ทุนการศึกษา สร้างพลังแห่งการเรียนรู้ EZ WebmasterDecember 3, 2025 “สหพัฒนพิบูล” เติมฝัน สานต่ออนาคตบุตรพนักงาน มอบ 300 ทุนการศึกษา สร้างพลังแห่งการเรียนรู้ การศึกษา คือรากฐานสำคัญในการสร้างสรรค์อนาคตที่ดีและยั่งยืน ไม่ว่าจะอยู่ในช่วงวัยใดก็ตาม การเรียนรู้ไม่ควรหยุดนิ่ง ความสนใจใฝ่รู้จึงเป็นเรื่องสำคัญอย่างยิ่ง เพราะการมีองค์ความรู้ที่กว้างขวาง จะช่วยให้สามารถแข่งขันและเติบโตในโลกที่เปลี่ยนแปลงได้ บริษัท สหพัฒนพิบูล จำกัด (มหาชน) หรือ SPC สานต่อเจตนารมณ์ความห่วงใยและใส่ใจบุคลากร มุ่งมั่นที่จะเป็นส่วนหนึ่งในการสนับสนุนและส่งเสริมการเรียนรู้ของเยาวชน ผ่าน… YSEALI CyberSafe ASEAN 2026 เปิดรับสมัคร! ทุนเต็มสำหรับผู้นำรุ่นใหม่สู้ภัยสแกมออนไลน์ EZ WebmasterDecember 2, 2025 🔐 YSEALI CyberSafe ASEAN 2026 เปิดรับสมัคร! ทุนเต็มสำหรับผู้นำรุ่นใหม่สู้ภัยสแกมออนไลน์ โครงการ YSEALI CyberSafe ASEAN 2026 เปิดรับสมัครผู้นำรุ่นใหม่จาก 10 ประเทศอาเซียน รวมถึงประเทศไทย เพื่อเข้าร่วมเวิร์กช็อปเชิงลึกด้านการป้องกันและรับมือ ภัยหลอกลวงออนไลน์… เปิดรับแล้ว! ทุนเต็มจำนวน EPOS จาก DAAD สำหรับปริญญาโทด้าน “ความเสี่ยง สิ่งแวดล้อม และความมั่นคงมนุษย์” ที่เยอรมนี EZ WebmasterDecember 2, 2025 🌍 เปิดรับแล้ว! ทุนเต็มจำนวน EPOS จาก DAAD สำหรับปริญญาโทด้าน “ความเสี่ยง สิ่งแวดล้อม และความมั่นคงมนุษย์” ที่เยอรมนี โอกาสใหญ่สำหรับคนไทยสายสิ่งแวดล้อม ภัยพิบัติ และการพัฒนาที่ยั่งยืนมาถึงแล้ว! หลักสูตร MSc Geography of… ทุนปริญญาเอกจาก NTU สิงคโปร์ ประจำปี 2569 EZ WebmasterNovember 28, 2025 📰 ทุนปริญญาเอกจาก NTU สิงคโปร์ ประจำปี 2569 ด้วย มหาวิทยาลัยเทคโนโลยีนันยาง (Nanyang Technological University: NTU) สาธารณรัฐสิงคโปร์ ได้ทูลเกล้าฯ ถวายทุนการศึกษาแด่ สมเด็จพระกนิษฐาธิราชเจ้า กรมสมเด็จพระเทพรัตนราชสุดาฯ เพื่อพระราชทานแก่ผู้มีคุณสมบัติเหมาะสม… ครู-อาจารย์ อบรมออนไลน์ฟรี! รับเกียรติบัตรจากคุรุสภา ปี 2568 รวม 3 หลักสูตรคุณภาพ EZ WebmasterDecember 5, 2025 📣 อบรมออนไลน์ฟรี! รับเกียรติบัตรจากคุรุสภา ปี 2568 รวม 3 หลักสูตรคุณภาพ โอกาสดีสำหรับครู นักศึกษา และผู้ที่สนใจด้านการศึกษา!คุรุสภาเปิดอบรมออนไลน์ฟรี ประจำปี 2568 จำนวน 3 หลักสูตร อบรมผ่านระบบออนไลน์ สะดวก… มจพ. สุดปลื้ม! ศ.ดร.วิไล รังสาดทอง คณะวิทย์ มจพ. คว้ารางวัล นักวิจัยดีเด่นแห่งชาติ ประจำปี 2569 ด้านเกษตรฯ รับ 5 แสน! EZ WebmasterDecember 4, 2025 มจพ. สุดปลื้ม! ศ.ดร.วิไล รังสาดทอง คณะวิทย์ มจพ. คว้ารางวัล นักวิจัยดีเด่นแห่งชาติ ประจำปี 2569 ด้านเกษตรฯ รับ 5 แสน! ศ.ดร.วิไล รังสาดทอง คณะวิทยาศาสตร์ประยุกต์ มหาวิทยาลัยเทคโนโลยีพระจอมเกล้าพระนครเหนือ… สสวท. เชิดชูเกียรติ! เปิดทำเนียบ “DPST Hall of Fame 2568” 4 บัณฑิต พสวท. นักวิจัยดีเด่น-ผู้นำพัฒนาวงการวิทยาศาสตร์ไทย EZ WebmasterDecember 3, 2025 สสวท. เชิดชูเกียรติ! เปิดทำเนียบ “DPST Hall of Fame 2568” 4 บัณฑิต พสวท. นักวิจัยดีเด่น-ผู้นำพัฒนาวงการวิทยาศาสตร์ไทย รองศาสตราจารย์ ดร.ธีระเดช เจียรสุขสกุล ผู้อำนวยการสถาบันส่งเสริมการสอนวิทยาศาสตร์และเทคโนโลยี (สสวท.) ประกาศความภาคภูมิใจในการคัดเลือกผู้สำเร็จการศึกษาทุนโครงการพัฒนาและส่งเสริมผู้มีความสามารถพิเศษทางวิทยาศาสตร์และเทคโนโลยี (พสวท.) เข้าสู่หอเกียรติยศ… แนวทางสำหรับครู – 60 วิธีจัดการเรียนรู้เพื่อพัฒนาผู้เรียนอย่างรอบด้าน EZ WebmasterDecember 2, 2025 📚 แนวทางสำหรับครู – 60 วิธีจัดการเรียนรู้เพื่อพัฒนาผู้เรียนอย่างรอบด้าน สำหรับครูและผู้พัฒนาการเรียนรู้ที่ต้องการยกระดับการสอนให้สอดคล้องกับ สมรรถนะผู้เรียนยุคใหม่ วันนี้มีชุดตัวอย่าง “60 วิธีการจัดการเรียนรู้” ที่ครอบคลุมทั้ง ด้านความรู้ (K) ทักษะ/กระบวนการ (P/S) คุณธรรม เจตคติ ค่านิยม… กิจกรรม มทร.ธัญบุรี พร้อมปั้นบัณฑิตสู่ยุค NEXT GEN การันตีความสำเร็จด้วยคลื่นมหาชน tui sakrapeeDecember 4, 2025 มหาวิทยาลัยเทคโนโลยีราชมงคลธัญบุรี (มทร.ธัญบุรี) สร้างปรากฏการณ์ครั้งสำคัญในแวดวงการศึกษาไทยผ่านงาน ‘RMUTT NEXT GEN: Open House 2026 : เปิดประตูสู่ราชมงคลธัญบุรี 69’ เมื่อวันที่ 27 และ 28 พฤศจิกายน 2568… ม.กรุงเทพ จัดงาน The Shape of Tomorrow: Bangkok Art & Architecture @Dib Bangkok tui sakrapeeDecember 4, 2025 คณะสถาปัตยกรรมศาสตร์ มหาวิทยาลัยกรุงเทพ จัดงาน “The Shape of Tomorrow: Bangkok Art & Architecture” เปิดพื้นที่แลกเปลี่ยนองค์ความรู้และประสบการณ์ระหว่างนักวิชาการ ผู้เชี่ยวชาญในวงการสถาปัตยกรรมที่มุ่งเน้นแนวคิดการออกแบบที่ตอบโจทย์ความยั่งยืน (Sustainability) และการปรับใช้พื้นที่อาคารให้เกิดคุณค่าใหม่ (Adaptive Reuse) โดยปรับเปลี่ยนพื้นที่เดิมให้กลายเป็นพื้นที่สร้างสรรค์อย่าง… มหาวิทยาลัยราชภัฏสวนสุนันทา จับมือ “เอ็ม พาวเวอร์ คอร์ปอเรชั่น” ลงนาม MOU ขับเคลื่อนระบบจัดการวัสดุรีไซเคิล สู่มหาวิทยาลัยสีเขียวอย่างยั่งยืน tui sakrapeeDecember 4, 2025 เมื่อวันพฤหัสบดีที่ 4 ธันวาคม 2568 มหาวิทยาลัยราชภัฏสวนสุนันทา จัดพิธีลงนามบันทึกความเข้าใจ (MOU) ร่วมกับบริษัท เอ็ม พาวเวอร์ คอร์ปอเรชั่น จำกัด ณ ห้องประชุมสภามหาวิทยาลัย เพื่อขับเคลื่อนการพัฒนาระบบการจัดการวัสดุรีไซเคิลภายในมหาวิทยาลัยอย่างเป็นรูปธรรมและยั่งยืน พิธีลงนามในครั้งนี้มีวัตถุประสงค์เพื่อพัฒนากลไกการจัดการวัสดุรีไซเคิลให้มีประสิทธิภาพยิ่งขึ้น ส่งเสริมการคัดแยกขยะอย่างถูกต้อง เพิ่มคุณค่าและสร้างรายได้จากวัสดุที่สามารถนำกลับมาใช้ใหม่… สุดเจ๋ง! สถานศึกษาอาชีวะ รับรางวัลโครงการชีววิถีฯ ระดับประเทศ ประจำปี 2568 สานต่อปณิธานหลักปรัชญาเศรษฐกิจพอเพียงของพ่อหลวงรัชกาลที่ 9 EZ WebmasterDecember 3, 2025 สุดเจ๋ง! สถานศึกษาอาชีวะ รับรางวัลโครงการชีววิถีฯ ระดับประเทศ ประจำปี 2568 สานต่อปณิธานหลักปรัชญาเศรษฐกิจพอเพียงของพ่อหลวงรัชกาลที่ 9 วันนี้ (1 ธ.ค. 68) นายยศพล เวณุโกเศศ เลขาธิการคณะกรรมการการอาชีวศึกษา มอบหมายให้ นายสง่า แต่เชื้อสาย… Search for: Search EZ Webmaster February 21, 2024 EZ Webmaster February 21, 2024 มหาวิทยาลัยเกษตรศาสตร์ เพิ่มที่นั่ง #TCAS67 #QUOTA จากเดิม 8,910 ที่นั่ง เป็น 10,270 ที่นั่ง มหาวิทยาลัยเกษตรศาสตร์ เพิ่มที่นั่ง #TCAS67 #QUOTA จากเดิม 8,910 ที่นั่ง เป็น 10,270 ที่นั่ง มหาวิทยาลัยเกษตรศาสตร์ เพิ่มที่นั่ง #TCAS67 #QUOTA จากเดิม 8,910 ที่นั่ง เป็น 10,270 ที่นั่ง . ดูได้ที่ : 67-TCAS2-Adjust_quantity EZ Webmaster Related Posts อบรมออนไลน์ฟรี! รับเกียรติบัตรจากคุรุสภา ปี 2568 รวม 3 หลักสูตรคุณภาพ ม.ศิลปากร ประกาศเกณฑ์ “รอบ 3 Admission” — เปิดรับ 11 คณะ รวมกว่า 5,393 ที่นั่ง 📌 ร.ร.นารีรัตน์ จ.แพร่ ออกแนวปฏิบัติการแต่งกายช่วงหน้าหนาว อนุญาตใส่เสื้อกันหนาวโทนสุภาพเพื่อความเป็นระเบียบ สถาบันเทคโนโลยีป้องกันประเทศ (DTI) เปิดรับ “นักศึกษาฝึกงาน” ด้านพัฒนาเว็บไซต์ Joomla! คณะวิทยาศาสตร์พลังงานและสิ่งแวดล้อม มจพ. วิทยาเขต ระยอง รับสมัครนักศึกษาใหม่ปี’69 โควตา MOU Post navigation PREVIOUS Previous post: กรรมการส่งเสริมฯ สวนสุนันทา จัดทอดผ้าป่าเพื่อการศึกษา ปี 2567 หนุนนักศึกษาขาดแคลนNEXT Next post: สถาบันการพยาบาลศรีสวรินทิรา สภากาชาด รับผ่าน #TCAS67 #QUOTA หมดเขต 29 มีนาคม 2567 Leave a Reply Cancel replyYour email address will not be published. Required fields are marked * Name* Email* Website Comment* Δ
ราชมงคลพระนคร พัฒนา 15 หลักสูตร หนุนเรียนจบเร็ว 3 ปีครึ่ง EZ WebmasterDecember 3, 2025 ราชมงคลพระนคร พัฒนา 15 หลักสูตร หนุนเรียนจบเร็ว 3 ปีครึ่ง ดร.ณัฐวรพล รัชสิริวัชรบุล รักษาราชการแทนอธิการบดี มหาวิทยาลัยเทคโนโลยีราชมงคลพระนคร (ราชมงคลพระนคร) กล่าวว่า ท่ามกลางกระแสการเปลี่ยนแปลงของโลกผู้คนต่างปรับตัวกับการเรียนรู้และพัฒนาตนเองอยู่เสมอ โดยเฉพาะคนรุ่นใหม่เลือกเข้าศึกษาต่อระดับอุดมศึกษามีแนวโน้มต้องการศึกษาต่อในระบบที่มีความยืดหยุ่นมากยิ่งขึ้น และมีการเรียนการสอนที่ตอบโจทย์วิถีชีวิตและการทำงาน ดังนั้นระบบการเรียนแบบ 4 ปี อาจไม่เอื้ออำนวยต่อความต้องการของนักศึกษาในปัจจุบันอีกต่อไป ความท้าทายเหล่านี้จึงทำให้ราชมงคลพระนคร ต้องปรับตัวและพัฒนาหลักสูตรให้สอดคล้องกับโลกแห่งความเป็นจริง… สสวท. มุ่งมั่นสร้างเครือข่ายศึกษานิเทศก์ที่มีความรู้ ความสามารถ และพร้อมเป็นกำลังสำคัญในการยกระดับคุณภาพการจัดการเรียนรู้ของผู้เรียนไทยอย่างยั่งยืน EZ WebmasterDecember 2, 2025 สสวท. มุ่งมั่นสร้างเครือข่ายศึกษานิเทศก์ที่มีความรู้ ความสามารถและพร้อมเป็นกำลังสำคัญในการยกระดับคุณภาพการจัดการเรียนรู้ของผู้เรียนไทยอย่างยั่งยืน สถาบันส่งเสริมการสอนวิทยาศาสตร์และเทคโนโลยี (สสวท.) จัดการอบรมเชิงปฏิบัติการพัฒนาผู้ช่วยวิทยากร หลักสูตรพัฒนาศักยภาพการนิเทศเชิงลึกสำหรับศึกษานิเทศก์ ระหว่างวันที่ 26–30 พฤศจิกายน 2568 ณ โรงแรมดิ เอมเมอรัลด์ กรุงเทพมหานคร การอบรมครั้งนี้จัดขึ้นเพื่อเตรียมความพร้อมให้กับศึกษานิเทศก์ จำนวน 55 คน ที่ผ่านการอบรมหลักสูตรผู้อำนวยการเรียนรู้ (Facilitator) และได้รับการคัดเลือกจาก สสวท. ให้ก้าวสู่บทบาทผู้ช่วยวิทยากร พร้อมทำหน้าที่ขยายผลหลักสูตรนิเทศเชิงลึกไปยังพื้นที่ต่าง ๆ…
สสวท. มุ่งมั่นสร้างเครือข่ายศึกษานิเทศก์ที่มีความรู้ ความสามารถ และพร้อมเป็นกำลังสำคัญในการยกระดับคุณภาพการจัดการเรียนรู้ของผู้เรียนไทยอย่างยั่งยืน EZ WebmasterDecember 2, 2025 สสวท. มุ่งมั่นสร้างเครือข่ายศึกษานิเทศก์ที่มีความรู้ ความสามารถและพร้อมเป็นกำลังสำคัญในการยกระดับคุณภาพการจัดการเรียนรู้ของผู้เรียนไทยอย่างยั่งยืน สถาบันส่งเสริมการสอนวิทยาศาสตร์และเทคโนโลยี (สสวท.) จัดการอบรมเชิงปฏิบัติการพัฒนาผู้ช่วยวิทยากร หลักสูตรพัฒนาศักยภาพการนิเทศเชิงลึกสำหรับศึกษานิเทศก์ ระหว่างวันที่ 26–30 พฤศจิกายน 2568 ณ โรงแรมดิ เอมเมอรัลด์ กรุงเทพมหานคร การอบรมครั้งนี้จัดขึ้นเพื่อเตรียมความพร้อมให้กับศึกษานิเทศก์ จำนวน 55 คน ที่ผ่านการอบรมหลักสูตรผู้อำนวยการเรียนรู้ (Facilitator) และได้รับการคัดเลือกจาก สสวท. ให้ก้าวสู่บทบาทผู้ช่วยวิทยากร พร้อมทำหน้าที่ขยายผลหลักสูตรนิเทศเชิงลึกไปยังพื้นที่ต่าง ๆ…
“สหพัฒนพิบูล” เติมฝัน สานต่ออนาคตบุตรพนักงาน มอบ 300 ทุนการศึกษา สร้างพลังแห่งการเรียนรู้ EZ WebmasterDecember 3, 2025 “สหพัฒนพิบูล” เติมฝัน สานต่ออนาคตบุตรพนักงาน มอบ 300 ทุนการศึกษา สร้างพลังแห่งการเรียนรู้ การศึกษา คือรากฐานสำคัญในการสร้างสรรค์อนาคตที่ดีและยั่งยืน ไม่ว่าจะอยู่ในช่วงวัยใดก็ตาม การเรียนรู้ไม่ควรหยุดนิ่ง ความสนใจใฝ่รู้จึงเป็นเรื่องสำคัญอย่างยิ่ง เพราะการมีองค์ความรู้ที่กว้างขวาง จะช่วยให้สามารถแข่งขันและเติบโตในโลกที่เปลี่ยนแปลงได้ บริษัท สหพัฒนพิบูล จำกัด (มหาชน) หรือ SPC สานต่อเจตนารมณ์ความห่วงใยและใส่ใจบุคลากร มุ่งมั่นที่จะเป็นส่วนหนึ่งในการสนับสนุนและส่งเสริมการเรียนรู้ของเยาวชน ผ่าน… YSEALI CyberSafe ASEAN 2026 เปิดรับสมัคร! ทุนเต็มสำหรับผู้นำรุ่นใหม่สู้ภัยสแกมออนไลน์ EZ WebmasterDecember 2, 2025 🔐 YSEALI CyberSafe ASEAN 2026 เปิดรับสมัคร! ทุนเต็มสำหรับผู้นำรุ่นใหม่สู้ภัยสแกมออนไลน์ โครงการ YSEALI CyberSafe ASEAN 2026 เปิดรับสมัครผู้นำรุ่นใหม่จาก 10 ประเทศอาเซียน รวมถึงประเทศไทย เพื่อเข้าร่วมเวิร์กช็อปเชิงลึกด้านการป้องกันและรับมือ ภัยหลอกลวงออนไลน์… เปิดรับแล้ว! ทุนเต็มจำนวน EPOS จาก DAAD สำหรับปริญญาโทด้าน “ความเสี่ยง สิ่งแวดล้อม และความมั่นคงมนุษย์” ที่เยอรมนี EZ WebmasterDecember 2, 2025 🌍 เปิดรับแล้ว! ทุนเต็มจำนวน EPOS จาก DAAD สำหรับปริญญาโทด้าน “ความเสี่ยง สิ่งแวดล้อม และความมั่นคงมนุษย์” ที่เยอรมนี โอกาสใหญ่สำหรับคนไทยสายสิ่งแวดล้อม ภัยพิบัติ และการพัฒนาที่ยั่งยืนมาถึงแล้ว! หลักสูตร MSc Geography of… ทุนปริญญาเอกจาก NTU สิงคโปร์ ประจำปี 2569 EZ WebmasterNovember 28, 2025 📰 ทุนปริญญาเอกจาก NTU สิงคโปร์ ประจำปี 2569 ด้วย มหาวิทยาลัยเทคโนโลยีนันยาง (Nanyang Technological University: NTU) สาธารณรัฐสิงคโปร์ ได้ทูลเกล้าฯ ถวายทุนการศึกษาแด่ สมเด็จพระกนิษฐาธิราชเจ้า กรมสมเด็จพระเทพรัตนราชสุดาฯ เพื่อพระราชทานแก่ผู้มีคุณสมบัติเหมาะสม… ครู-อาจารย์ อบรมออนไลน์ฟรี! รับเกียรติบัตรจากคุรุสภา ปี 2568 รวม 3 หลักสูตรคุณภาพ EZ WebmasterDecember 5, 2025 📣 อบรมออนไลน์ฟรี! รับเกียรติบัตรจากคุรุสภา ปี 2568 รวม 3 หลักสูตรคุณภาพ โอกาสดีสำหรับครู นักศึกษา และผู้ที่สนใจด้านการศึกษา!คุรุสภาเปิดอบรมออนไลน์ฟรี ประจำปี 2568 จำนวน 3 หลักสูตร อบรมผ่านระบบออนไลน์ สะดวก… มจพ. สุดปลื้ม! ศ.ดร.วิไล รังสาดทอง คณะวิทย์ มจพ. คว้ารางวัล นักวิจัยดีเด่นแห่งชาติ ประจำปี 2569 ด้านเกษตรฯ รับ 5 แสน! EZ WebmasterDecember 4, 2025 มจพ. สุดปลื้ม! ศ.ดร.วิไล รังสาดทอง คณะวิทย์ มจพ. คว้ารางวัล นักวิจัยดีเด่นแห่งชาติ ประจำปี 2569 ด้านเกษตรฯ รับ 5 แสน! ศ.ดร.วิไล รังสาดทอง คณะวิทยาศาสตร์ประยุกต์ มหาวิทยาลัยเทคโนโลยีพระจอมเกล้าพระนครเหนือ… สสวท. เชิดชูเกียรติ! เปิดทำเนียบ “DPST Hall of Fame 2568” 4 บัณฑิต พสวท. นักวิจัยดีเด่น-ผู้นำพัฒนาวงการวิทยาศาสตร์ไทย EZ WebmasterDecember 3, 2025 สสวท. เชิดชูเกียรติ! เปิดทำเนียบ “DPST Hall of Fame 2568” 4 บัณฑิต พสวท. นักวิจัยดีเด่น-ผู้นำพัฒนาวงการวิทยาศาสตร์ไทย รองศาสตราจารย์ ดร.ธีระเดช เจียรสุขสกุล ผู้อำนวยการสถาบันส่งเสริมการสอนวิทยาศาสตร์และเทคโนโลยี (สสวท.) ประกาศความภาคภูมิใจในการคัดเลือกผู้สำเร็จการศึกษาทุนโครงการพัฒนาและส่งเสริมผู้มีความสามารถพิเศษทางวิทยาศาสตร์และเทคโนโลยี (พสวท.) เข้าสู่หอเกียรติยศ… แนวทางสำหรับครู – 60 วิธีจัดการเรียนรู้เพื่อพัฒนาผู้เรียนอย่างรอบด้าน EZ WebmasterDecember 2, 2025 📚 แนวทางสำหรับครู – 60 วิธีจัดการเรียนรู้เพื่อพัฒนาผู้เรียนอย่างรอบด้าน สำหรับครูและผู้พัฒนาการเรียนรู้ที่ต้องการยกระดับการสอนให้สอดคล้องกับ สมรรถนะผู้เรียนยุคใหม่ วันนี้มีชุดตัวอย่าง “60 วิธีการจัดการเรียนรู้” ที่ครอบคลุมทั้ง ด้านความรู้ (K) ทักษะ/กระบวนการ (P/S) คุณธรรม เจตคติ ค่านิยม… กิจกรรม มทร.ธัญบุรี พร้อมปั้นบัณฑิตสู่ยุค NEXT GEN การันตีความสำเร็จด้วยคลื่นมหาชน tui sakrapeeDecember 4, 2025 มหาวิทยาลัยเทคโนโลยีราชมงคลธัญบุรี (มทร.ธัญบุรี) สร้างปรากฏการณ์ครั้งสำคัญในแวดวงการศึกษาไทยผ่านงาน ‘RMUTT NEXT GEN: Open House 2026 : เปิดประตูสู่ราชมงคลธัญบุรี 69’ เมื่อวันที่ 27 และ 28 พฤศจิกายน 2568… ม.กรุงเทพ จัดงาน The Shape of Tomorrow: Bangkok Art & Architecture @Dib Bangkok tui sakrapeeDecember 4, 2025 คณะสถาปัตยกรรมศาสตร์ มหาวิทยาลัยกรุงเทพ จัดงาน “The Shape of Tomorrow: Bangkok Art & Architecture” เปิดพื้นที่แลกเปลี่ยนองค์ความรู้และประสบการณ์ระหว่างนักวิชาการ ผู้เชี่ยวชาญในวงการสถาปัตยกรรมที่มุ่งเน้นแนวคิดการออกแบบที่ตอบโจทย์ความยั่งยืน (Sustainability) และการปรับใช้พื้นที่อาคารให้เกิดคุณค่าใหม่ (Adaptive Reuse) โดยปรับเปลี่ยนพื้นที่เดิมให้กลายเป็นพื้นที่สร้างสรรค์อย่าง… มหาวิทยาลัยราชภัฏสวนสุนันทา จับมือ “เอ็ม พาวเวอร์ คอร์ปอเรชั่น” ลงนาม MOU ขับเคลื่อนระบบจัดการวัสดุรีไซเคิล สู่มหาวิทยาลัยสีเขียวอย่างยั่งยืน tui sakrapeeDecember 4, 2025 เมื่อวันพฤหัสบดีที่ 4 ธันวาคม 2568 มหาวิทยาลัยราชภัฏสวนสุนันทา จัดพิธีลงนามบันทึกความเข้าใจ (MOU) ร่วมกับบริษัท เอ็ม พาวเวอร์ คอร์ปอเรชั่น จำกัด ณ ห้องประชุมสภามหาวิทยาลัย เพื่อขับเคลื่อนการพัฒนาระบบการจัดการวัสดุรีไซเคิลภายในมหาวิทยาลัยอย่างเป็นรูปธรรมและยั่งยืน พิธีลงนามในครั้งนี้มีวัตถุประสงค์เพื่อพัฒนากลไกการจัดการวัสดุรีไซเคิลให้มีประสิทธิภาพยิ่งขึ้น ส่งเสริมการคัดแยกขยะอย่างถูกต้อง เพิ่มคุณค่าและสร้างรายได้จากวัสดุที่สามารถนำกลับมาใช้ใหม่… สุดเจ๋ง! สถานศึกษาอาชีวะ รับรางวัลโครงการชีววิถีฯ ระดับประเทศ ประจำปี 2568 สานต่อปณิธานหลักปรัชญาเศรษฐกิจพอเพียงของพ่อหลวงรัชกาลที่ 9 EZ WebmasterDecember 3, 2025 สุดเจ๋ง! สถานศึกษาอาชีวะ รับรางวัลโครงการชีววิถีฯ ระดับประเทศ ประจำปี 2568 สานต่อปณิธานหลักปรัชญาเศรษฐกิจพอเพียงของพ่อหลวงรัชกาลที่ 9 วันนี้ (1 ธ.ค. 68) นายยศพล เวณุโกเศศ เลขาธิการคณะกรรมการการอาชีวศึกษา มอบหมายให้ นายสง่า แต่เชื้อสาย… Search for: Search EZ Webmaster February 21, 2024 EZ Webmaster February 21, 2024 มหาวิทยาลัยเกษตรศาสตร์ เพิ่มที่นั่ง #TCAS67 #QUOTA จากเดิม 8,910 ที่นั่ง เป็น 10,270 ที่นั่ง มหาวิทยาลัยเกษตรศาสตร์ เพิ่มที่นั่ง #TCAS67 #QUOTA จากเดิม 8,910 ที่นั่ง เป็น 10,270 ที่นั่ง มหาวิทยาลัยเกษตรศาสตร์ เพิ่มที่นั่ง #TCAS67 #QUOTA จากเดิม 8,910 ที่นั่ง เป็น 10,270 ที่นั่ง . ดูได้ที่ : 67-TCAS2-Adjust_quantity EZ Webmaster Related Posts อบรมออนไลน์ฟรี! รับเกียรติบัตรจากคุรุสภา ปี 2568 รวม 3 หลักสูตรคุณภาพ ม.ศิลปากร ประกาศเกณฑ์ “รอบ 3 Admission” — เปิดรับ 11 คณะ รวมกว่า 5,393 ที่นั่ง 📌 ร.ร.นารีรัตน์ จ.แพร่ ออกแนวปฏิบัติการแต่งกายช่วงหน้าหนาว อนุญาตใส่เสื้อกันหนาวโทนสุภาพเพื่อความเป็นระเบียบ สถาบันเทคโนโลยีป้องกันประเทศ (DTI) เปิดรับ “นักศึกษาฝึกงาน” ด้านพัฒนาเว็บไซต์ Joomla! คณะวิทยาศาสตร์พลังงานและสิ่งแวดล้อม มจพ. วิทยาเขต ระยอง รับสมัครนักศึกษาใหม่ปี’69 โควตา MOU Post navigation PREVIOUS Previous post: กรรมการส่งเสริมฯ สวนสุนันทา จัดทอดผ้าป่าเพื่อการศึกษา ปี 2567 หนุนนักศึกษาขาดแคลนNEXT Next post: สถาบันการพยาบาลศรีสวรินทิรา สภากาชาด รับผ่าน #TCAS67 #QUOTA หมดเขต 29 มีนาคม 2567 Leave a Reply Cancel replyYour email address will not be published. Required fields are marked * Name* Email* Website Comment* Δ
YSEALI CyberSafe ASEAN 2026 เปิดรับสมัคร! ทุนเต็มสำหรับผู้นำรุ่นใหม่สู้ภัยสแกมออนไลน์ EZ WebmasterDecember 2, 2025 🔐 YSEALI CyberSafe ASEAN 2026 เปิดรับสมัคร! ทุนเต็มสำหรับผู้นำรุ่นใหม่สู้ภัยสแกมออนไลน์ โครงการ YSEALI CyberSafe ASEAN 2026 เปิดรับสมัครผู้นำรุ่นใหม่จาก 10 ประเทศอาเซียน รวมถึงประเทศไทย เพื่อเข้าร่วมเวิร์กช็อปเชิงลึกด้านการป้องกันและรับมือ ภัยหลอกลวงออนไลน์… เปิดรับแล้ว! ทุนเต็มจำนวน EPOS จาก DAAD สำหรับปริญญาโทด้าน “ความเสี่ยง สิ่งแวดล้อม และความมั่นคงมนุษย์” ที่เยอรมนี EZ WebmasterDecember 2, 2025 🌍 เปิดรับแล้ว! ทุนเต็มจำนวน EPOS จาก DAAD สำหรับปริญญาโทด้าน “ความเสี่ยง สิ่งแวดล้อม และความมั่นคงมนุษย์” ที่เยอรมนี โอกาสใหญ่สำหรับคนไทยสายสิ่งแวดล้อม ภัยพิบัติ และการพัฒนาที่ยั่งยืนมาถึงแล้ว! หลักสูตร MSc Geography of… ทุนปริญญาเอกจาก NTU สิงคโปร์ ประจำปี 2569 EZ WebmasterNovember 28, 2025 📰 ทุนปริญญาเอกจาก NTU สิงคโปร์ ประจำปี 2569 ด้วย มหาวิทยาลัยเทคโนโลยีนันยาง (Nanyang Technological University: NTU) สาธารณรัฐสิงคโปร์ ได้ทูลเกล้าฯ ถวายทุนการศึกษาแด่ สมเด็จพระกนิษฐาธิราชเจ้า กรมสมเด็จพระเทพรัตนราชสุดาฯ เพื่อพระราชทานแก่ผู้มีคุณสมบัติเหมาะสม… ครู-อาจารย์ อบรมออนไลน์ฟรี! รับเกียรติบัตรจากคุรุสภา ปี 2568 รวม 3 หลักสูตรคุณภาพ EZ WebmasterDecember 5, 2025 📣 อบรมออนไลน์ฟรี! รับเกียรติบัตรจากคุรุสภา ปี 2568 รวม 3 หลักสูตรคุณภาพ โอกาสดีสำหรับครู นักศึกษา และผู้ที่สนใจด้านการศึกษา!คุรุสภาเปิดอบรมออนไลน์ฟรี ประจำปี 2568 จำนวน 3 หลักสูตร อบรมผ่านระบบออนไลน์ สะดวก… มจพ. สุดปลื้ม! ศ.ดร.วิไล รังสาดทอง คณะวิทย์ มจพ. คว้ารางวัล นักวิจัยดีเด่นแห่งชาติ ประจำปี 2569 ด้านเกษตรฯ รับ 5 แสน! EZ WebmasterDecember 4, 2025 มจพ. สุดปลื้ม! ศ.ดร.วิไล รังสาดทอง คณะวิทย์ มจพ. คว้ารางวัล นักวิจัยดีเด่นแห่งชาติ ประจำปี 2569 ด้านเกษตรฯ รับ 5 แสน! ศ.ดร.วิไล รังสาดทอง คณะวิทยาศาสตร์ประยุกต์ มหาวิทยาลัยเทคโนโลยีพระจอมเกล้าพระนครเหนือ… สสวท. เชิดชูเกียรติ! เปิดทำเนียบ “DPST Hall of Fame 2568” 4 บัณฑิต พสวท. นักวิจัยดีเด่น-ผู้นำพัฒนาวงการวิทยาศาสตร์ไทย EZ WebmasterDecember 3, 2025 สสวท. เชิดชูเกียรติ! เปิดทำเนียบ “DPST Hall of Fame 2568” 4 บัณฑิต พสวท. นักวิจัยดีเด่น-ผู้นำพัฒนาวงการวิทยาศาสตร์ไทย รองศาสตราจารย์ ดร.ธีระเดช เจียรสุขสกุล ผู้อำนวยการสถาบันส่งเสริมการสอนวิทยาศาสตร์และเทคโนโลยี (สสวท.) ประกาศความภาคภูมิใจในการคัดเลือกผู้สำเร็จการศึกษาทุนโครงการพัฒนาและส่งเสริมผู้มีความสามารถพิเศษทางวิทยาศาสตร์และเทคโนโลยี (พสวท.) เข้าสู่หอเกียรติยศ… แนวทางสำหรับครู – 60 วิธีจัดการเรียนรู้เพื่อพัฒนาผู้เรียนอย่างรอบด้าน EZ WebmasterDecember 2, 2025 📚 แนวทางสำหรับครู – 60 วิธีจัดการเรียนรู้เพื่อพัฒนาผู้เรียนอย่างรอบด้าน สำหรับครูและผู้พัฒนาการเรียนรู้ที่ต้องการยกระดับการสอนให้สอดคล้องกับ สมรรถนะผู้เรียนยุคใหม่ วันนี้มีชุดตัวอย่าง “60 วิธีการจัดการเรียนรู้” ที่ครอบคลุมทั้ง ด้านความรู้ (K) ทักษะ/กระบวนการ (P/S) คุณธรรม เจตคติ ค่านิยม… กิจกรรม มทร.ธัญบุรี พร้อมปั้นบัณฑิตสู่ยุค NEXT GEN การันตีความสำเร็จด้วยคลื่นมหาชน tui sakrapeeDecember 4, 2025 มหาวิทยาลัยเทคโนโลยีราชมงคลธัญบุรี (มทร.ธัญบุรี) สร้างปรากฏการณ์ครั้งสำคัญในแวดวงการศึกษาไทยผ่านงาน ‘RMUTT NEXT GEN: Open House 2026 : เปิดประตูสู่ราชมงคลธัญบุรี 69’ เมื่อวันที่ 27 และ 28 พฤศจิกายน 2568… ม.กรุงเทพ จัดงาน The Shape of Tomorrow: Bangkok Art & Architecture @Dib Bangkok tui sakrapeeDecember 4, 2025 คณะสถาปัตยกรรมศาสตร์ มหาวิทยาลัยกรุงเทพ จัดงาน “The Shape of Tomorrow: Bangkok Art & Architecture” เปิดพื้นที่แลกเปลี่ยนองค์ความรู้และประสบการณ์ระหว่างนักวิชาการ ผู้เชี่ยวชาญในวงการสถาปัตยกรรมที่มุ่งเน้นแนวคิดการออกแบบที่ตอบโจทย์ความยั่งยืน (Sustainability) และการปรับใช้พื้นที่อาคารให้เกิดคุณค่าใหม่ (Adaptive Reuse) โดยปรับเปลี่ยนพื้นที่เดิมให้กลายเป็นพื้นที่สร้างสรรค์อย่าง… มหาวิทยาลัยราชภัฏสวนสุนันทา จับมือ “เอ็ม พาวเวอร์ คอร์ปอเรชั่น” ลงนาม MOU ขับเคลื่อนระบบจัดการวัสดุรีไซเคิล สู่มหาวิทยาลัยสีเขียวอย่างยั่งยืน tui sakrapeeDecember 4, 2025 เมื่อวันพฤหัสบดีที่ 4 ธันวาคม 2568 มหาวิทยาลัยราชภัฏสวนสุนันทา จัดพิธีลงนามบันทึกความเข้าใจ (MOU) ร่วมกับบริษัท เอ็ม พาวเวอร์ คอร์ปอเรชั่น จำกัด ณ ห้องประชุมสภามหาวิทยาลัย เพื่อขับเคลื่อนการพัฒนาระบบการจัดการวัสดุรีไซเคิลภายในมหาวิทยาลัยอย่างเป็นรูปธรรมและยั่งยืน พิธีลงนามในครั้งนี้มีวัตถุประสงค์เพื่อพัฒนากลไกการจัดการวัสดุรีไซเคิลให้มีประสิทธิภาพยิ่งขึ้น ส่งเสริมการคัดแยกขยะอย่างถูกต้อง เพิ่มคุณค่าและสร้างรายได้จากวัสดุที่สามารถนำกลับมาใช้ใหม่… สุดเจ๋ง! สถานศึกษาอาชีวะ รับรางวัลโครงการชีววิถีฯ ระดับประเทศ ประจำปี 2568 สานต่อปณิธานหลักปรัชญาเศรษฐกิจพอเพียงของพ่อหลวงรัชกาลที่ 9 EZ WebmasterDecember 3, 2025 สุดเจ๋ง! สถานศึกษาอาชีวะ รับรางวัลโครงการชีววิถีฯ ระดับประเทศ ประจำปี 2568 สานต่อปณิธานหลักปรัชญาเศรษฐกิจพอเพียงของพ่อหลวงรัชกาลที่ 9 วันนี้ (1 ธ.ค. 68) นายยศพล เวณุโกเศศ เลขาธิการคณะกรรมการการอาชีวศึกษา มอบหมายให้ นายสง่า แต่เชื้อสาย… Search for: Search EZ Webmaster February 21, 2024 EZ Webmaster February 21, 2024 มหาวิทยาลัยเกษตรศาสตร์ เพิ่มที่นั่ง #TCAS67 #QUOTA จากเดิม 8,910 ที่นั่ง เป็น 10,270 ที่นั่ง มหาวิทยาลัยเกษตรศาสตร์ เพิ่มที่นั่ง #TCAS67 #QUOTA จากเดิม 8,910 ที่นั่ง เป็น 10,270 ที่นั่ง มหาวิทยาลัยเกษตรศาสตร์ เพิ่มที่นั่ง #TCAS67 #QUOTA จากเดิม 8,910 ที่นั่ง เป็น 10,270 ที่นั่ง . ดูได้ที่ : 67-TCAS2-Adjust_quantity EZ Webmaster Related Posts อบรมออนไลน์ฟรี! รับเกียรติบัตรจากคุรุสภา ปี 2568 รวม 3 หลักสูตรคุณภาพ ม.ศิลปากร ประกาศเกณฑ์ “รอบ 3 Admission” — เปิดรับ 11 คณะ รวมกว่า 5,393 ที่นั่ง 📌 ร.ร.นารีรัตน์ จ.แพร่ ออกแนวปฏิบัติการแต่งกายช่วงหน้าหนาว อนุญาตใส่เสื้อกันหนาวโทนสุภาพเพื่อความเป็นระเบียบ สถาบันเทคโนโลยีป้องกันประเทศ (DTI) เปิดรับ “นักศึกษาฝึกงาน” ด้านพัฒนาเว็บไซต์ Joomla! คณะวิทยาศาสตร์พลังงานและสิ่งแวดล้อม มจพ. วิทยาเขต ระยอง รับสมัครนักศึกษาใหม่ปี’69 โควตา MOU Post navigation PREVIOUS Previous post: กรรมการส่งเสริมฯ สวนสุนันทา จัดทอดผ้าป่าเพื่อการศึกษา ปี 2567 หนุนนักศึกษาขาดแคลนNEXT Next post: สถาบันการพยาบาลศรีสวรินทิรา สภากาชาด รับผ่าน #TCAS67 #QUOTA หมดเขต 29 มีนาคม 2567 Leave a Reply Cancel replyYour email address will not be published. Required fields are marked * Name* Email* Website Comment* Δ
เปิดรับแล้ว! ทุนเต็มจำนวน EPOS จาก DAAD สำหรับปริญญาโทด้าน “ความเสี่ยง สิ่งแวดล้อม และความมั่นคงมนุษย์” ที่เยอรมนี EZ WebmasterDecember 2, 2025 🌍 เปิดรับแล้ว! ทุนเต็มจำนวน EPOS จาก DAAD สำหรับปริญญาโทด้าน “ความเสี่ยง สิ่งแวดล้อม และความมั่นคงมนุษย์” ที่เยอรมนี โอกาสใหญ่สำหรับคนไทยสายสิ่งแวดล้อม ภัยพิบัติ และการพัฒนาที่ยั่งยืนมาถึงแล้ว! หลักสูตร MSc Geography of… ทุนปริญญาเอกจาก NTU สิงคโปร์ ประจำปี 2569 EZ WebmasterNovember 28, 2025 📰 ทุนปริญญาเอกจาก NTU สิงคโปร์ ประจำปี 2569 ด้วย มหาวิทยาลัยเทคโนโลยีนันยาง (Nanyang Technological University: NTU) สาธารณรัฐสิงคโปร์ ได้ทูลเกล้าฯ ถวายทุนการศึกษาแด่ สมเด็จพระกนิษฐาธิราชเจ้า กรมสมเด็จพระเทพรัตนราชสุดาฯ เพื่อพระราชทานแก่ผู้มีคุณสมบัติเหมาะสม…
ทุนปริญญาเอกจาก NTU สิงคโปร์ ประจำปี 2569 EZ WebmasterNovember 28, 2025 📰 ทุนปริญญาเอกจาก NTU สิงคโปร์ ประจำปี 2569 ด้วย มหาวิทยาลัยเทคโนโลยีนันยาง (Nanyang Technological University: NTU) สาธารณรัฐสิงคโปร์ ได้ทูลเกล้าฯ ถวายทุนการศึกษาแด่ สมเด็จพระกนิษฐาธิราชเจ้า กรมสมเด็จพระเทพรัตนราชสุดาฯ เพื่อพระราชทานแก่ผู้มีคุณสมบัติเหมาะสม…
อบรมออนไลน์ฟรี! รับเกียรติบัตรจากคุรุสภา ปี 2568 รวม 3 หลักสูตรคุณภาพ EZ WebmasterDecember 5, 2025 📣 อบรมออนไลน์ฟรี! รับเกียรติบัตรจากคุรุสภา ปี 2568 รวม 3 หลักสูตรคุณภาพ โอกาสดีสำหรับครู นักศึกษา และผู้ที่สนใจด้านการศึกษา!คุรุสภาเปิดอบรมออนไลน์ฟรี ประจำปี 2568 จำนวน 3 หลักสูตร อบรมผ่านระบบออนไลน์ สะดวก… มจพ. สุดปลื้ม! ศ.ดร.วิไล รังสาดทอง คณะวิทย์ มจพ. คว้ารางวัล นักวิจัยดีเด่นแห่งชาติ ประจำปี 2569 ด้านเกษตรฯ รับ 5 แสน! EZ WebmasterDecember 4, 2025 มจพ. สุดปลื้ม! ศ.ดร.วิไล รังสาดทอง คณะวิทย์ มจพ. คว้ารางวัล นักวิจัยดีเด่นแห่งชาติ ประจำปี 2569 ด้านเกษตรฯ รับ 5 แสน! ศ.ดร.วิไล รังสาดทอง คณะวิทยาศาสตร์ประยุกต์ มหาวิทยาลัยเทคโนโลยีพระจอมเกล้าพระนครเหนือ… สสวท. เชิดชูเกียรติ! เปิดทำเนียบ “DPST Hall of Fame 2568” 4 บัณฑิต พสวท. นักวิจัยดีเด่น-ผู้นำพัฒนาวงการวิทยาศาสตร์ไทย EZ WebmasterDecember 3, 2025 สสวท. เชิดชูเกียรติ! เปิดทำเนียบ “DPST Hall of Fame 2568” 4 บัณฑิต พสวท. นักวิจัยดีเด่น-ผู้นำพัฒนาวงการวิทยาศาสตร์ไทย รองศาสตราจารย์ ดร.ธีระเดช เจียรสุขสกุล ผู้อำนวยการสถาบันส่งเสริมการสอนวิทยาศาสตร์และเทคโนโลยี (สสวท.) ประกาศความภาคภูมิใจในการคัดเลือกผู้สำเร็จการศึกษาทุนโครงการพัฒนาและส่งเสริมผู้มีความสามารถพิเศษทางวิทยาศาสตร์และเทคโนโลยี (พสวท.) เข้าสู่หอเกียรติยศ… แนวทางสำหรับครู – 60 วิธีจัดการเรียนรู้เพื่อพัฒนาผู้เรียนอย่างรอบด้าน EZ WebmasterDecember 2, 2025 📚 แนวทางสำหรับครู – 60 วิธีจัดการเรียนรู้เพื่อพัฒนาผู้เรียนอย่างรอบด้าน สำหรับครูและผู้พัฒนาการเรียนรู้ที่ต้องการยกระดับการสอนให้สอดคล้องกับ สมรรถนะผู้เรียนยุคใหม่ วันนี้มีชุดตัวอย่าง “60 วิธีการจัดการเรียนรู้” ที่ครอบคลุมทั้ง ด้านความรู้ (K) ทักษะ/กระบวนการ (P/S) คุณธรรม เจตคติ ค่านิยม… กิจกรรม มทร.ธัญบุรี พร้อมปั้นบัณฑิตสู่ยุค NEXT GEN การันตีความสำเร็จด้วยคลื่นมหาชน tui sakrapeeDecember 4, 2025 มหาวิทยาลัยเทคโนโลยีราชมงคลธัญบุรี (มทร.ธัญบุรี) สร้างปรากฏการณ์ครั้งสำคัญในแวดวงการศึกษาไทยผ่านงาน ‘RMUTT NEXT GEN: Open House 2026 : เปิดประตูสู่ราชมงคลธัญบุรี 69’ เมื่อวันที่ 27 และ 28 พฤศจิกายน 2568… ม.กรุงเทพ จัดงาน The Shape of Tomorrow: Bangkok Art & Architecture @Dib Bangkok tui sakrapeeDecember 4, 2025 คณะสถาปัตยกรรมศาสตร์ มหาวิทยาลัยกรุงเทพ จัดงาน “The Shape of Tomorrow: Bangkok Art & Architecture” เปิดพื้นที่แลกเปลี่ยนองค์ความรู้และประสบการณ์ระหว่างนักวิชาการ ผู้เชี่ยวชาญในวงการสถาปัตยกรรมที่มุ่งเน้นแนวคิดการออกแบบที่ตอบโจทย์ความยั่งยืน (Sustainability) และการปรับใช้พื้นที่อาคารให้เกิดคุณค่าใหม่ (Adaptive Reuse) โดยปรับเปลี่ยนพื้นที่เดิมให้กลายเป็นพื้นที่สร้างสรรค์อย่าง… มหาวิทยาลัยราชภัฏสวนสุนันทา จับมือ “เอ็ม พาวเวอร์ คอร์ปอเรชั่น” ลงนาม MOU ขับเคลื่อนระบบจัดการวัสดุรีไซเคิล สู่มหาวิทยาลัยสีเขียวอย่างยั่งยืน tui sakrapeeDecember 4, 2025 เมื่อวันพฤหัสบดีที่ 4 ธันวาคม 2568 มหาวิทยาลัยราชภัฏสวนสุนันทา จัดพิธีลงนามบันทึกความเข้าใจ (MOU) ร่วมกับบริษัท เอ็ม พาวเวอร์ คอร์ปอเรชั่น จำกัด ณ ห้องประชุมสภามหาวิทยาลัย เพื่อขับเคลื่อนการพัฒนาระบบการจัดการวัสดุรีไซเคิลภายในมหาวิทยาลัยอย่างเป็นรูปธรรมและยั่งยืน พิธีลงนามในครั้งนี้มีวัตถุประสงค์เพื่อพัฒนากลไกการจัดการวัสดุรีไซเคิลให้มีประสิทธิภาพยิ่งขึ้น ส่งเสริมการคัดแยกขยะอย่างถูกต้อง เพิ่มคุณค่าและสร้างรายได้จากวัสดุที่สามารถนำกลับมาใช้ใหม่… สุดเจ๋ง! สถานศึกษาอาชีวะ รับรางวัลโครงการชีววิถีฯ ระดับประเทศ ประจำปี 2568 สานต่อปณิธานหลักปรัชญาเศรษฐกิจพอเพียงของพ่อหลวงรัชกาลที่ 9 EZ WebmasterDecember 3, 2025 สุดเจ๋ง! สถานศึกษาอาชีวะ รับรางวัลโครงการชีววิถีฯ ระดับประเทศ ประจำปี 2568 สานต่อปณิธานหลักปรัชญาเศรษฐกิจพอเพียงของพ่อหลวงรัชกาลที่ 9 วันนี้ (1 ธ.ค. 68) นายยศพล เวณุโกเศศ เลขาธิการคณะกรรมการการอาชีวศึกษา มอบหมายให้ นายสง่า แต่เชื้อสาย… Search for: Search EZ Webmaster February 21, 2024 EZ Webmaster February 21, 2024 มหาวิทยาลัยเกษตรศาสตร์ เพิ่มที่นั่ง #TCAS67 #QUOTA จากเดิม 8,910 ที่นั่ง เป็น 10,270 ที่นั่ง มหาวิทยาลัยเกษตรศาสตร์ เพิ่มที่นั่ง #TCAS67 #QUOTA จากเดิม 8,910 ที่นั่ง เป็น 10,270 ที่นั่ง มหาวิทยาลัยเกษตรศาสตร์ เพิ่มที่นั่ง #TCAS67 #QUOTA จากเดิม 8,910 ที่นั่ง เป็น 10,270 ที่นั่ง . ดูได้ที่ : 67-TCAS2-Adjust_quantity EZ Webmaster Related Posts อบรมออนไลน์ฟรี! รับเกียรติบัตรจากคุรุสภา ปี 2568 รวม 3 หลักสูตรคุณภาพ ม.ศิลปากร ประกาศเกณฑ์ “รอบ 3 Admission” — เปิดรับ 11 คณะ รวมกว่า 5,393 ที่นั่ง 📌 ร.ร.นารีรัตน์ จ.แพร่ ออกแนวปฏิบัติการแต่งกายช่วงหน้าหนาว อนุญาตใส่เสื้อกันหนาวโทนสุภาพเพื่อความเป็นระเบียบ สถาบันเทคโนโลยีป้องกันประเทศ (DTI) เปิดรับ “นักศึกษาฝึกงาน” ด้านพัฒนาเว็บไซต์ Joomla! คณะวิทยาศาสตร์พลังงานและสิ่งแวดล้อม มจพ. วิทยาเขต ระยอง รับสมัครนักศึกษาใหม่ปี’69 โควตา MOU Post navigation PREVIOUS Previous post: กรรมการส่งเสริมฯ สวนสุนันทา จัดทอดผ้าป่าเพื่อการศึกษา ปี 2567 หนุนนักศึกษาขาดแคลนNEXT Next post: สถาบันการพยาบาลศรีสวรินทิรา สภากาชาด รับผ่าน #TCAS67 #QUOTA หมดเขต 29 มีนาคม 2567 Leave a Reply Cancel replyYour email address will not be published. Required fields are marked * Name* Email* Website Comment* Δ
มจพ. สุดปลื้ม! ศ.ดร.วิไล รังสาดทอง คณะวิทย์ มจพ. คว้ารางวัล นักวิจัยดีเด่นแห่งชาติ ประจำปี 2569 ด้านเกษตรฯ รับ 5 แสน! EZ WebmasterDecember 4, 2025 มจพ. สุดปลื้ม! ศ.ดร.วิไล รังสาดทอง คณะวิทย์ มจพ. คว้ารางวัล นักวิจัยดีเด่นแห่งชาติ ประจำปี 2569 ด้านเกษตรฯ รับ 5 แสน! ศ.ดร.วิไล รังสาดทอง คณะวิทยาศาสตร์ประยุกต์ มหาวิทยาลัยเทคโนโลยีพระจอมเกล้าพระนครเหนือ… สสวท. เชิดชูเกียรติ! เปิดทำเนียบ “DPST Hall of Fame 2568” 4 บัณฑิต พสวท. นักวิจัยดีเด่น-ผู้นำพัฒนาวงการวิทยาศาสตร์ไทย EZ WebmasterDecember 3, 2025 สสวท. เชิดชูเกียรติ! เปิดทำเนียบ “DPST Hall of Fame 2568” 4 บัณฑิต พสวท. นักวิจัยดีเด่น-ผู้นำพัฒนาวงการวิทยาศาสตร์ไทย รองศาสตราจารย์ ดร.ธีระเดช เจียรสุขสกุล ผู้อำนวยการสถาบันส่งเสริมการสอนวิทยาศาสตร์และเทคโนโลยี (สสวท.) ประกาศความภาคภูมิใจในการคัดเลือกผู้สำเร็จการศึกษาทุนโครงการพัฒนาและส่งเสริมผู้มีความสามารถพิเศษทางวิทยาศาสตร์และเทคโนโลยี (พสวท.) เข้าสู่หอเกียรติยศ… แนวทางสำหรับครู – 60 วิธีจัดการเรียนรู้เพื่อพัฒนาผู้เรียนอย่างรอบด้าน EZ WebmasterDecember 2, 2025 📚 แนวทางสำหรับครู – 60 วิธีจัดการเรียนรู้เพื่อพัฒนาผู้เรียนอย่างรอบด้าน สำหรับครูและผู้พัฒนาการเรียนรู้ที่ต้องการยกระดับการสอนให้สอดคล้องกับ สมรรถนะผู้เรียนยุคใหม่ วันนี้มีชุดตัวอย่าง “60 วิธีการจัดการเรียนรู้” ที่ครอบคลุมทั้ง ด้านความรู้ (K) ทักษะ/กระบวนการ (P/S) คุณธรรม เจตคติ ค่านิยม… กิจกรรม มทร.ธัญบุรี พร้อมปั้นบัณฑิตสู่ยุค NEXT GEN การันตีความสำเร็จด้วยคลื่นมหาชน tui sakrapeeDecember 4, 2025 มหาวิทยาลัยเทคโนโลยีราชมงคลธัญบุรี (มทร.ธัญบุรี) สร้างปรากฏการณ์ครั้งสำคัญในแวดวงการศึกษาไทยผ่านงาน ‘RMUTT NEXT GEN: Open House 2026 : เปิดประตูสู่ราชมงคลธัญบุรี 69’ เมื่อวันที่ 27 และ 28 พฤศจิกายน 2568… ม.กรุงเทพ จัดงาน The Shape of Tomorrow: Bangkok Art & Architecture @Dib Bangkok tui sakrapeeDecember 4, 2025 คณะสถาปัตยกรรมศาสตร์ มหาวิทยาลัยกรุงเทพ จัดงาน “The Shape of Tomorrow: Bangkok Art & Architecture” เปิดพื้นที่แลกเปลี่ยนองค์ความรู้และประสบการณ์ระหว่างนักวิชาการ ผู้เชี่ยวชาญในวงการสถาปัตยกรรมที่มุ่งเน้นแนวคิดการออกแบบที่ตอบโจทย์ความยั่งยืน (Sustainability) และการปรับใช้พื้นที่อาคารให้เกิดคุณค่าใหม่ (Adaptive Reuse) โดยปรับเปลี่ยนพื้นที่เดิมให้กลายเป็นพื้นที่สร้างสรรค์อย่าง… มหาวิทยาลัยราชภัฏสวนสุนันทา จับมือ “เอ็ม พาวเวอร์ คอร์ปอเรชั่น” ลงนาม MOU ขับเคลื่อนระบบจัดการวัสดุรีไซเคิล สู่มหาวิทยาลัยสีเขียวอย่างยั่งยืน tui sakrapeeDecember 4, 2025 เมื่อวันพฤหัสบดีที่ 4 ธันวาคม 2568 มหาวิทยาลัยราชภัฏสวนสุนันทา จัดพิธีลงนามบันทึกความเข้าใจ (MOU) ร่วมกับบริษัท เอ็ม พาวเวอร์ คอร์ปอเรชั่น จำกัด ณ ห้องประชุมสภามหาวิทยาลัย เพื่อขับเคลื่อนการพัฒนาระบบการจัดการวัสดุรีไซเคิลภายในมหาวิทยาลัยอย่างเป็นรูปธรรมและยั่งยืน พิธีลงนามในครั้งนี้มีวัตถุประสงค์เพื่อพัฒนากลไกการจัดการวัสดุรีไซเคิลให้มีประสิทธิภาพยิ่งขึ้น ส่งเสริมการคัดแยกขยะอย่างถูกต้อง เพิ่มคุณค่าและสร้างรายได้จากวัสดุที่สามารถนำกลับมาใช้ใหม่… สุดเจ๋ง! สถานศึกษาอาชีวะ รับรางวัลโครงการชีววิถีฯ ระดับประเทศ ประจำปี 2568 สานต่อปณิธานหลักปรัชญาเศรษฐกิจพอเพียงของพ่อหลวงรัชกาลที่ 9 EZ WebmasterDecember 3, 2025 สุดเจ๋ง! สถานศึกษาอาชีวะ รับรางวัลโครงการชีววิถีฯ ระดับประเทศ ประจำปี 2568 สานต่อปณิธานหลักปรัชญาเศรษฐกิจพอเพียงของพ่อหลวงรัชกาลที่ 9 วันนี้ (1 ธ.ค. 68) นายยศพล เวณุโกเศศ เลขาธิการคณะกรรมการการอาชีวศึกษา มอบหมายให้ นายสง่า แต่เชื้อสาย… Search for: Search EZ Webmaster February 21, 2024 EZ Webmaster February 21, 2024 มหาวิทยาลัยเกษตรศาสตร์ เพิ่มที่นั่ง #TCAS67 #QUOTA จากเดิม 8,910 ที่นั่ง เป็น 10,270 ที่นั่ง มหาวิทยาลัยเกษตรศาสตร์ เพิ่มที่นั่ง #TCAS67 #QUOTA จากเดิม 8,910 ที่นั่ง เป็น 10,270 ที่นั่ง มหาวิทยาลัยเกษตรศาสตร์ เพิ่มที่นั่ง #TCAS67 #QUOTA จากเดิม 8,910 ที่นั่ง เป็น 10,270 ที่นั่ง . ดูได้ที่ : 67-TCAS2-Adjust_quantity EZ Webmaster Related Posts อบรมออนไลน์ฟรี! รับเกียรติบัตรจากคุรุสภา ปี 2568 รวม 3 หลักสูตรคุณภาพ ม.ศิลปากร ประกาศเกณฑ์ “รอบ 3 Admission” — เปิดรับ 11 คณะ รวมกว่า 5,393 ที่นั่ง 📌 ร.ร.นารีรัตน์ จ.แพร่ ออกแนวปฏิบัติการแต่งกายช่วงหน้าหนาว อนุญาตใส่เสื้อกันหนาวโทนสุภาพเพื่อความเป็นระเบียบ สถาบันเทคโนโลยีป้องกันประเทศ (DTI) เปิดรับ “นักศึกษาฝึกงาน” ด้านพัฒนาเว็บไซต์ Joomla! คณะวิทยาศาสตร์พลังงานและสิ่งแวดล้อม มจพ. วิทยาเขต ระยอง รับสมัครนักศึกษาใหม่ปี’69 โควตา MOU Post navigation PREVIOUS Previous post: กรรมการส่งเสริมฯ สวนสุนันทา จัดทอดผ้าป่าเพื่อการศึกษา ปี 2567 หนุนนักศึกษาขาดแคลนNEXT Next post: สถาบันการพยาบาลศรีสวรินทิรา สภากาชาด รับผ่าน #TCAS67 #QUOTA หมดเขต 29 มีนาคม 2567 Leave a Reply Cancel replyYour email address will not be published. Required fields are marked * Name* Email* Website Comment* Δ
สสวท. เชิดชูเกียรติ! เปิดทำเนียบ “DPST Hall of Fame 2568” 4 บัณฑิต พสวท. นักวิจัยดีเด่น-ผู้นำพัฒนาวงการวิทยาศาสตร์ไทย EZ WebmasterDecember 3, 2025 สสวท. เชิดชูเกียรติ! เปิดทำเนียบ “DPST Hall of Fame 2568” 4 บัณฑิต พสวท. นักวิจัยดีเด่น-ผู้นำพัฒนาวงการวิทยาศาสตร์ไทย รองศาสตราจารย์ ดร.ธีระเดช เจียรสุขสกุล ผู้อำนวยการสถาบันส่งเสริมการสอนวิทยาศาสตร์และเทคโนโลยี (สสวท.) ประกาศความภาคภูมิใจในการคัดเลือกผู้สำเร็จการศึกษาทุนโครงการพัฒนาและส่งเสริมผู้มีความสามารถพิเศษทางวิทยาศาสตร์และเทคโนโลยี (พสวท.) เข้าสู่หอเกียรติยศ… แนวทางสำหรับครู – 60 วิธีจัดการเรียนรู้เพื่อพัฒนาผู้เรียนอย่างรอบด้าน EZ WebmasterDecember 2, 2025 📚 แนวทางสำหรับครู – 60 วิธีจัดการเรียนรู้เพื่อพัฒนาผู้เรียนอย่างรอบด้าน สำหรับครูและผู้พัฒนาการเรียนรู้ที่ต้องการยกระดับการสอนให้สอดคล้องกับ สมรรถนะผู้เรียนยุคใหม่ วันนี้มีชุดตัวอย่าง “60 วิธีการจัดการเรียนรู้” ที่ครอบคลุมทั้ง ด้านความรู้ (K) ทักษะ/กระบวนการ (P/S) คุณธรรม เจตคติ ค่านิยม…
แนวทางสำหรับครู – 60 วิธีจัดการเรียนรู้เพื่อพัฒนาผู้เรียนอย่างรอบด้าน EZ WebmasterDecember 2, 2025 📚 แนวทางสำหรับครู – 60 วิธีจัดการเรียนรู้เพื่อพัฒนาผู้เรียนอย่างรอบด้าน สำหรับครูและผู้พัฒนาการเรียนรู้ที่ต้องการยกระดับการสอนให้สอดคล้องกับ สมรรถนะผู้เรียนยุคใหม่ วันนี้มีชุดตัวอย่าง “60 วิธีการจัดการเรียนรู้” ที่ครอบคลุมทั้ง ด้านความรู้ (K) ทักษะ/กระบวนการ (P/S) คุณธรรม เจตคติ ค่านิยม…
มทร.ธัญบุรี พร้อมปั้นบัณฑิตสู่ยุค NEXT GEN การันตีความสำเร็จด้วยคลื่นมหาชน tui sakrapeeDecember 4, 2025 มหาวิทยาลัยเทคโนโลยีราชมงคลธัญบุรี (มทร.ธัญบุรี) สร้างปรากฏการณ์ครั้งสำคัญในแวดวงการศึกษาไทยผ่านงาน ‘RMUTT NEXT GEN: Open House 2026 : เปิดประตูสู่ราชมงคลธัญบุรี 69’ เมื่อวันที่ 27 และ 28 พฤศจิกายน 2568… ม.กรุงเทพ จัดงาน The Shape of Tomorrow: Bangkok Art & Architecture @Dib Bangkok tui sakrapeeDecember 4, 2025 คณะสถาปัตยกรรมศาสตร์ มหาวิทยาลัยกรุงเทพ จัดงาน “The Shape of Tomorrow: Bangkok Art & Architecture” เปิดพื้นที่แลกเปลี่ยนองค์ความรู้และประสบการณ์ระหว่างนักวิชาการ ผู้เชี่ยวชาญในวงการสถาปัตยกรรมที่มุ่งเน้นแนวคิดการออกแบบที่ตอบโจทย์ความยั่งยืน (Sustainability) และการปรับใช้พื้นที่อาคารให้เกิดคุณค่าใหม่ (Adaptive Reuse) โดยปรับเปลี่ยนพื้นที่เดิมให้กลายเป็นพื้นที่สร้างสรรค์อย่าง… มหาวิทยาลัยราชภัฏสวนสุนันทา จับมือ “เอ็ม พาวเวอร์ คอร์ปอเรชั่น” ลงนาม MOU ขับเคลื่อนระบบจัดการวัสดุรีไซเคิล สู่มหาวิทยาลัยสีเขียวอย่างยั่งยืน tui sakrapeeDecember 4, 2025 เมื่อวันพฤหัสบดีที่ 4 ธันวาคม 2568 มหาวิทยาลัยราชภัฏสวนสุนันทา จัดพิธีลงนามบันทึกความเข้าใจ (MOU) ร่วมกับบริษัท เอ็ม พาวเวอร์ คอร์ปอเรชั่น จำกัด ณ ห้องประชุมสภามหาวิทยาลัย เพื่อขับเคลื่อนการพัฒนาระบบการจัดการวัสดุรีไซเคิลภายในมหาวิทยาลัยอย่างเป็นรูปธรรมและยั่งยืน พิธีลงนามในครั้งนี้มีวัตถุประสงค์เพื่อพัฒนากลไกการจัดการวัสดุรีไซเคิลให้มีประสิทธิภาพยิ่งขึ้น ส่งเสริมการคัดแยกขยะอย่างถูกต้อง เพิ่มคุณค่าและสร้างรายได้จากวัสดุที่สามารถนำกลับมาใช้ใหม่… สุดเจ๋ง! สถานศึกษาอาชีวะ รับรางวัลโครงการชีววิถีฯ ระดับประเทศ ประจำปี 2568 สานต่อปณิธานหลักปรัชญาเศรษฐกิจพอเพียงของพ่อหลวงรัชกาลที่ 9 EZ WebmasterDecember 3, 2025 สุดเจ๋ง! สถานศึกษาอาชีวะ รับรางวัลโครงการชีววิถีฯ ระดับประเทศ ประจำปี 2568 สานต่อปณิธานหลักปรัชญาเศรษฐกิจพอเพียงของพ่อหลวงรัชกาลที่ 9 วันนี้ (1 ธ.ค. 68) นายยศพล เวณุโกเศศ เลขาธิการคณะกรรมการการอาชีวศึกษา มอบหมายให้ นายสง่า แต่เชื้อสาย… Search for: Search EZ Webmaster February 21, 2024 EZ Webmaster February 21, 2024 มหาวิทยาลัยเกษตรศาสตร์ เพิ่มที่นั่ง #TCAS67 #QUOTA จากเดิม 8,910 ที่นั่ง เป็น 10,270 ที่นั่ง มหาวิทยาลัยเกษตรศาสตร์ เพิ่มที่นั่ง #TCAS67 #QUOTA จากเดิม 8,910 ที่นั่ง เป็น 10,270 ที่นั่ง มหาวิทยาลัยเกษตรศาสตร์ เพิ่มที่นั่ง #TCAS67 #QUOTA จากเดิม 8,910 ที่นั่ง เป็น 10,270 ที่นั่ง . ดูได้ที่ : 67-TCAS2-Adjust_quantity EZ Webmaster Related Posts อบรมออนไลน์ฟรี! รับเกียรติบัตรจากคุรุสภา ปี 2568 รวม 3 หลักสูตรคุณภาพ ม.ศิลปากร ประกาศเกณฑ์ “รอบ 3 Admission” — เปิดรับ 11 คณะ รวมกว่า 5,393 ที่นั่ง 📌 ร.ร.นารีรัตน์ จ.แพร่ ออกแนวปฏิบัติการแต่งกายช่วงหน้าหนาว อนุญาตใส่เสื้อกันหนาวโทนสุภาพเพื่อความเป็นระเบียบ สถาบันเทคโนโลยีป้องกันประเทศ (DTI) เปิดรับ “นักศึกษาฝึกงาน” ด้านพัฒนาเว็บไซต์ Joomla! คณะวิทยาศาสตร์พลังงานและสิ่งแวดล้อม มจพ. วิทยาเขต ระยอง รับสมัครนักศึกษาใหม่ปี’69 โควตา MOU Post navigation PREVIOUS Previous post: กรรมการส่งเสริมฯ สวนสุนันทา จัดทอดผ้าป่าเพื่อการศึกษา ปี 2567 หนุนนักศึกษาขาดแคลนNEXT Next post: สถาบันการพยาบาลศรีสวรินทิรา สภากาชาด รับผ่าน #TCAS67 #QUOTA หมดเขต 29 มีนาคม 2567 Leave a Reply Cancel replyYour email address will not be published. Required fields are marked * Name* Email* Website Comment* Δ
ม.กรุงเทพ จัดงาน The Shape of Tomorrow: Bangkok Art & Architecture @Dib Bangkok tui sakrapeeDecember 4, 2025 คณะสถาปัตยกรรมศาสตร์ มหาวิทยาลัยกรุงเทพ จัดงาน “The Shape of Tomorrow: Bangkok Art & Architecture” เปิดพื้นที่แลกเปลี่ยนองค์ความรู้และประสบการณ์ระหว่างนักวิชาการ ผู้เชี่ยวชาญในวงการสถาปัตยกรรมที่มุ่งเน้นแนวคิดการออกแบบที่ตอบโจทย์ความยั่งยืน (Sustainability) และการปรับใช้พื้นที่อาคารให้เกิดคุณค่าใหม่ (Adaptive Reuse) โดยปรับเปลี่ยนพื้นที่เดิมให้กลายเป็นพื้นที่สร้างสรรค์อย่าง… มหาวิทยาลัยราชภัฏสวนสุนันทา จับมือ “เอ็ม พาวเวอร์ คอร์ปอเรชั่น” ลงนาม MOU ขับเคลื่อนระบบจัดการวัสดุรีไซเคิล สู่มหาวิทยาลัยสีเขียวอย่างยั่งยืน tui sakrapeeDecember 4, 2025 เมื่อวันพฤหัสบดีที่ 4 ธันวาคม 2568 มหาวิทยาลัยราชภัฏสวนสุนันทา จัดพิธีลงนามบันทึกความเข้าใจ (MOU) ร่วมกับบริษัท เอ็ม พาวเวอร์ คอร์ปอเรชั่น จำกัด ณ ห้องประชุมสภามหาวิทยาลัย เพื่อขับเคลื่อนการพัฒนาระบบการจัดการวัสดุรีไซเคิลภายในมหาวิทยาลัยอย่างเป็นรูปธรรมและยั่งยืน พิธีลงนามในครั้งนี้มีวัตถุประสงค์เพื่อพัฒนากลไกการจัดการวัสดุรีไซเคิลให้มีประสิทธิภาพยิ่งขึ้น ส่งเสริมการคัดแยกขยะอย่างถูกต้อง เพิ่มคุณค่าและสร้างรายได้จากวัสดุที่สามารถนำกลับมาใช้ใหม่… สุดเจ๋ง! สถานศึกษาอาชีวะ รับรางวัลโครงการชีววิถีฯ ระดับประเทศ ประจำปี 2568 สานต่อปณิธานหลักปรัชญาเศรษฐกิจพอเพียงของพ่อหลวงรัชกาลที่ 9 EZ WebmasterDecember 3, 2025 สุดเจ๋ง! สถานศึกษาอาชีวะ รับรางวัลโครงการชีววิถีฯ ระดับประเทศ ประจำปี 2568 สานต่อปณิธานหลักปรัชญาเศรษฐกิจพอเพียงของพ่อหลวงรัชกาลที่ 9 วันนี้ (1 ธ.ค. 68) นายยศพล เวณุโกเศศ เลขาธิการคณะกรรมการการอาชีวศึกษา มอบหมายให้ นายสง่า แต่เชื้อสาย… Search for: Search
มหาวิทยาลัยราชภัฏสวนสุนันทา จับมือ “เอ็ม พาวเวอร์ คอร์ปอเรชั่น” ลงนาม MOU ขับเคลื่อนระบบจัดการวัสดุรีไซเคิล สู่มหาวิทยาลัยสีเขียวอย่างยั่งยืน tui sakrapeeDecember 4, 2025 เมื่อวันพฤหัสบดีที่ 4 ธันวาคม 2568 มหาวิทยาลัยราชภัฏสวนสุนันทา จัดพิธีลงนามบันทึกความเข้าใจ (MOU) ร่วมกับบริษัท เอ็ม พาวเวอร์ คอร์ปอเรชั่น จำกัด ณ ห้องประชุมสภามหาวิทยาลัย เพื่อขับเคลื่อนการพัฒนาระบบการจัดการวัสดุรีไซเคิลภายในมหาวิทยาลัยอย่างเป็นรูปธรรมและยั่งยืน พิธีลงนามในครั้งนี้มีวัตถุประสงค์เพื่อพัฒนากลไกการจัดการวัสดุรีไซเคิลให้มีประสิทธิภาพยิ่งขึ้น ส่งเสริมการคัดแยกขยะอย่างถูกต้อง เพิ่มคุณค่าและสร้างรายได้จากวัสดุที่สามารถนำกลับมาใช้ใหม่… สุดเจ๋ง! สถานศึกษาอาชีวะ รับรางวัลโครงการชีววิถีฯ ระดับประเทศ ประจำปี 2568 สานต่อปณิธานหลักปรัชญาเศรษฐกิจพอเพียงของพ่อหลวงรัชกาลที่ 9 EZ WebmasterDecember 3, 2025 สุดเจ๋ง! สถานศึกษาอาชีวะ รับรางวัลโครงการชีววิถีฯ ระดับประเทศ ประจำปี 2568 สานต่อปณิธานหลักปรัชญาเศรษฐกิจพอเพียงของพ่อหลวงรัชกาลที่ 9 วันนี้ (1 ธ.ค. 68) นายยศพล เวณุโกเศศ เลขาธิการคณะกรรมการการอาชีวศึกษา มอบหมายให้ นายสง่า แต่เชื้อสาย…
สุดเจ๋ง! สถานศึกษาอาชีวะ รับรางวัลโครงการชีววิถีฯ ระดับประเทศ ประจำปี 2568 สานต่อปณิธานหลักปรัชญาเศรษฐกิจพอเพียงของพ่อหลวงรัชกาลที่ 9 EZ WebmasterDecember 3, 2025 สุดเจ๋ง! สถานศึกษาอาชีวะ รับรางวัลโครงการชีววิถีฯ ระดับประเทศ ประจำปี 2568 สานต่อปณิธานหลักปรัชญาเศรษฐกิจพอเพียงของพ่อหลวงรัชกาลที่ 9 วันนี้ (1 ธ.ค. 68) นายยศพล เวณุโกเศศ เลขาธิการคณะกรรมการการอาชีวศึกษา มอบหมายให้ นายสง่า แต่เชื้อสาย…
EZ Webmaster February 21, 2024 EZ Webmaster February 21, 2024 มหาวิทยาลัยเกษตรศาสตร์ เพิ่มที่นั่ง #TCAS67 #QUOTA จากเดิม 8,910 ที่นั่ง เป็น 10,270 ที่นั่ง มหาวิทยาลัยเกษตรศาสตร์ เพิ่มที่นั่ง #TCAS67 #QUOTA จากเดิม 8,910 ที่นั่ง เป็น 10,270 ที่นั่ง มหาวิทยาลัยเกษตรศาสตร์ เพิ่มที่นั่ง #TCAS67 #QUOTA จากเดิม 8,910 ที่นั่ง เป็น 10,270 ที่นั่ง . ดูได้ที่ : 67-TCAS2-Adjust_quantity
📌 ร.ร.นารีรัตน์ จ.แพร่ ออกแนวปฏิบัติการแต่งกายช่วงหน้าหนาว อนุญาตใส่เสื้อกันหนาวโทนสุภาพเพื่อความเป็นระเบียบ